Table of Contents
 
  					Chapter 12
  Algebraic Expressions
12.1 Introduction
  					We have already come across simple algebraic expressions like x + 3, y – 5, 4x + 5, 10y – 5 and so on. In Class VI, we have seen how these expressions are useful in formulating puzzles and problems. We have also seen examples of several expressions in the chapter on simple equations.
Expressions are a central concept in algebra. This Chapter is devoted to algebraic expressions. When you have studied this Chapter, you will know how algebraic expressions are formed, how they can be combined, how we can find their values and how they can be used.
12.2 How are Expressions Formed?
We now know very well what a variable is. We use letters x, y, l, m, ... etc. to denote variables. A variable can take various values. Its value is not fixed. On the other hand, a constant has a fixed value. Examples of constants are: 4, 100, –17, etc.
We combine variables and constants to make algebraic expressions. For this, we use the operations of addition, subtraction, multiplication and division. We have already come across expressions like 4x + 5, 10y – 20. The expression 4x + 5 is obtained from the variable x, first by multiplying x by the constant 4 and then adding the constant 5 to the product. Similarly, 10y – 20 is obtained by first multiplying y by 10 and then subtracting 20 from the product.
The above expressions were obtained by combining variables with constants. We can also obtain expressions by combining variables with themselves or with other variables.
Look at how the following expressions are obtained:
(i) The expression x2 is obtained by multiplying the variable x by itself;
x × x = x2
Just as 4 × 4 is written as 42, we write x × x = x2. It is commonly read as x squared.
(Later, when you study the chapter ‘Exponents and Powers’ you will realise that x2 may also be read as x raised to the power 2).
In the same manner, we can write x × x × x = x3
Commonly, x3 is read as ‘x cubed’. Later, you will realise that x3 may also be read as x raised to the power 3.
x, x2, x3, ... are all algebraic expressions obtained from x.
(ii) The expression 2y2 is obtained from y: 2y2 = 2 × y × y
Here by multiplying y with y we obtain y2 and then we multiply y2 by the constant 2.
Try These
Describe how the following expressions are obtained: 7xy + 5, x2y, 4x2 – 5x
(iii) In (3x2 – 5) we first obtain x2, and multiply it by 3 to get 3x2.
From 3x2, we subtract 5 to finally arrive at 3x2 – 5.
(iv) In xy, we multiply the variable x with another variable y. Thus, x × y = xy.
(v) In 4xy + 7, we first obtain xy, multiply it by 4 to get 4xy and add 7 to 4xy to get the expression.
12.3 Terms of an Expression
We shall now put in a systematic form what we have learnt above about how expressions are formed. For this purpose, we need to understand what terms of an expression and their factors are.
Consider the expression (4x + 5). In forming this expression, we first formed 4x separately as a product of 4 and x and then added 5 to it. Similarly consider the expression (3x2 + 7y). Here we first formed 3x2 separately as a product of 3, x and x. We then formed 7y separately as a product of 7 and y. Having formed 3x2 and 7y separately, we added them to get the expression.
You will find that the expressions we deal with can always be seen this way. They have parts which are formed separately and then added. Such parts of an expression which are formed separately first and then added are known as terms. Look at the expression (4x2 – 3xy). We say that it has two terms, 4x2 and –3xy. The term 4x2 is a product of 4, x and x, and the term (–3xy) is a product of (–3), x and y.
Terms are added to form expressions. Just as the terms 4x and 5 are added to form the expression (4x + 5), the terms 4x2 and (–3xy) are added to give the expression (4x2 – 3xy). This is because 4x2 + (–3xy) = 4x2 – 3xy.
Note, the minus sign (–) is included in the term. In the expression 4x2 –3xy, we took the term as (–3xy) and not as (3xy). That is why we do not need to say that terms are ‘added or subtracted’ to form an expression; just ‘added’ is enough.
Factors of a term
We saw above that the expression (4x2 – 3xy) consists of two terms 4x2 and –3xy. The term 4x2 is a product of 4, x and x; we say that 4, x and x are the factors of the term 4x2. A term is a product of its factors. The term –3xy is a product of the factors –3, x and y.
We can represent the terms and factors of the terms of an expression conveniently and elegantly by a tree diagram. The tree for the expression (4x2 – 3xy) is as shown in the adjacent figure.
 
  					 
  					Let us draw a tree diagram for the expression 5xy + 10.
The factors are such that they cannot be further factorised. Thus we do not write 5xy as 5 × xy, because xy can be further factorised. Similarly, if x3 were a term, it would be written as x × x × x and not x2 × x. Also, remember that 1 is not taken as a separate factor.
Coefficients
Try These
1. What are the terms in the following expressions? Show how the terms are formed. Draw a tree diagram for each expression:
8y + 3x2, 7mn – 4, 2x2y.
2. Write three expression each having 4 terms.
We have learnt how to write a term as a product of factors. One of these factors may be numerical and the others algebraic (i.e., they contain variables). The numerical factor is said to be the numerical coefficient or simply the coefficient of the term. It is also said to be the coefficient of the rest of the term (which is obviously the product of algebraic factors of the term). Thus in 5xy, 5 is the coefficient of the term. It is also the coefficient of xy. In the term 10xyz, 10 is the coefficient of xyz, in the term –7x2y2, –7 is the coefficient of x2y2
When the coefficient of a term is +1, it is usually omitted. For example, 1x is written as x; 1 x2y2 is written as x2y2 and so on. Also, the coefficient (–1) is indicated only by the minus sign. Thus (–1) x is written as – x; (–1) x2 y2 is written as – x2 y2 and so on.
Try These - Identify the coefficients of the terms of following expressions:4x – 3y, a + b + 5, 2y + 5, 2xy
Sometimes, the word ‘coefficient’ is used in a more general way. Thus we say that in the term 5xy, 5 is the coefficient of xy, x is the coefficient of 5y and y is the coefficient of 5x. In 10xy2, 10 is the coefficient of xy2, x is the coefficient of 10y2 and y2 is the coefficient of 10x. Thus, in this more general way, a coefficient may be either a numerical factor or an algebraic factor or a product of two or more factors. It is said to be the coefficient of the product of the remaining factors.
Example 1
Identify, in the following expressions, terms which are not constants. Give their numerical coefficients:
xy + 4, 13 – y2, 13 – y + 5y2, 4p2q – 3pq2 + 5
Solution
Example 2
(a) What are the coefficients of x in the following expressions?
4x – 3y, 8 – x + y, y2x – y, 2z – 5xz
(b) What are the coefficients of y in the following expressions?
4x – 3y, 8 + yz, yz2 + 5, my + m
Solution
(a) In each expression we look for a term with x as a factor. The remaining part of that term is the coefficient of x.
(b) The method is similar to that in (a) above.
12.4 Like and Unlike Terms
When terms have the same algebraic factors, they are like terms. When terms have different algebraic factors, they are unlike terms. For example, in the expression 2xy – 3x + 5xy – 4, look at the terms 2xy and 5xy. The factors of 2xy are 2, x and y. The factors of 5xy are 5, x and y. Thus their algebraic (i.e., those which contain variables) factors are the same and hence they are like terms. On the other hand the terms 2xy and –3x, have different algebraic factors. They are unlike terms. Similarly, the terms, 2xy and 4, are unlike terms. Also, the terms –3x and 4 are unlike terms.
Try These
  Group the like terms together from the following:
12x, 12, – 25x, – 25, – 25y, 1, x, 12y, y
12.5 Monomials, Binomials, Trinomials and Polynomials
An expression with only one term is called a monomial; for example, 7xy, – 5m, 3z2, 4 etc.
An expression which contains two unlike terms is called a binomial; for example, x + y, m – 5, mn + 4m, a2 – b2 are binomials. The expression 10pq is not a binomial; it is a monomial. The expression (a + b + 5) is not a binomial. It contains three terms.
An expression which contains three terms is called a trinomial; for example, the expressions x + y + 7, ab + a +b, 3x2 – 5x + 2, m + n + 10 are trinomials. The expression 
ab + a + b + 5 is, however not a trinomial; it contains four terms and not three. The expression x +  y + 5x is not a trinomial as the terms x and 5x are like terms. 
In general, an expression with one or more terms is called a polynomial. Thus a monomial, a binomial and a trinomial are all polynomials.
Try These
  Classify the following expressions as a monomial, a binomial or a trinomial: a, a + b, ab + a + b, ab + a + b – 5, xy, xy + 5, 5x2 – x + 2, 4pq – 3q + 5p, 7, 4m – 7n + 10, 4mn + 7.
Example 3
State with reasons, which of the following pairs of terms are of like terms and which are of unlike terms:
(i) 7x, 12y (ii) 15x, –21x (iii) – 4ab, 7ba (iv) 3xy, 3x
(v) 6xy2, 9x2y (vi) pq2, – 4pq2 (vii) mn2, 10mn
Solution
Following simple steps will help you to decide whether the given terms are like or unlike terms:
(i) Ignore the numerical coefficients. Concentrate on the algebraic part of the terms.
(ii) Check the variables in the terms. They must be the same.
(iii) Next, check the powers of each variable in the terms. They must be the same.
Note that in deciding like terms, two things do not matter (1) the numerical coefficients of the terms and (2) the order in which the variables are multiplied in the terms.
Exercise 12.1
 
  				1. Get the algebraic expressions in the following cases using variables, constants and arithmetic operations.
(i) Subtraction of z from y.
(ii) One-half of the sum of numbers x and y.
(iii) The number z multiplied by itself.
(iv) One-fourth of the product of numbers p and q.
(v) Numbers x and y both squared and added.
(vi) Number 5 added to three times the product of numbers m and n.
(vii) Product of numbers y and z subtracted from 10.
(viii) Sum of numbers a and b subtracted from their product.
2. (i) Identify the terms and their factors in the following expressions
Show the terms and factors by tree diagrams.
(a) x – 3 (b) 1 + x + x2 (c) y – y3
(d) 5xy2 + 7x2y (e) – ab + 2b2 – 3a2
(ii) Identify terms and factors in the expressions given below:
(a) – 4x + 5 (b) – 4x + 5y (c) 5y + 3y2
(d) xy + 2x2y2 (e) pq + q (f) 1.2 ab – 2.4 b + 3.6 a
	(g) x +
x + (h)	0.1 p2 + 0.2 q2
	(h)	0.1 p2 + 0.2 q2	
3. Identify the numerical coefficients of terms (other than constants) in the following expressions:
(i) 5 – 3t2 (ii) 1 + t + t2 + t3 (iii) x + 2xy + 3y
(iv) 100m + 1000n (v) – p2q2 + 7pq (vi) 1.2 a + 0.8 b
(vii) 3.14 r2 (viii) 2 (l + b) (ix) 0.1 y + 0.01 y2
4. (a) Identify terms which contain x and give the coefficient of x.
(i) y2x + y (ii) 13y2 – 8yx (iii) x + y + 2
(iv) 5 + z + zx (v) 1 + x + xy (vi) 12xy2 + 25
(vii) 7x + xy2
(b) Identify terms which contain y2 and give the coefficient of y2.
(i) 8 – xy2 (ii) 5y2 + 7x (iii) 2x2y – 15xy2 + 7y2
5. Classify into monomials, binomials and trinomials.
(i) 4y – 7z (ii) y2 (iii) x + y – xy (iv) 100
(v) ab – a – b (vi) 5 – 3t (vii) 4p2q – 4pq2 (viii) 7mn
(ix) z2 – 3z + 8 (x) a2 + b2 (xi) z2 + z
(xii) 1 + x + x2
6. State whether a given pair of terms is of like or unlike terms.
	(i)	1, 100	(ii)	–7x, x	(iii)	– 29x, – 29y
x	(iii)	– 29x, – 29y
(iv) 14xy, 42yx (v) 4m2p, 4mp2 (vi) 12xz, 12x2z2
7. Identify like terms in the following:
(a) – xy2, – 4yx2, 8x2, 2xy2, 7y, – 11x2, – 100x, – 11yx, 20x2y,
– 6x2, y, 2xy, 3x
(b) 10pq, 7p, 8q, – p2q2, – 7qp, – 100q, – 23, 12q2p2, – 5p2, 41, 2405p, 78qp, 13p2q, qp2, 701p2
12.6 Addition and Subtraction of Algebraic Expressions
Consider the following problems:
1. Sarita has some marbles. Ameena has 10 more. Appu says that he has 3 more marbles than the number of marbles Sarita and Ameena together have. How do you get the number of marbles that Appu has?
		Since it is not given how many marbles Sarita has, we shall take it to be x. Ameena then has 10 more, i.e., x + 10. Appu says that he has 3 more marbles than what Sarita and Ameena have together. So we take the sum of the numbers of Sarita’s marbles and Ameena’s marbles, and to this sum add 3, that is, we take the sum of 
x, x + 10 and 3.
	2.	Ramu’s father’s present age is 3 times Ramu’s age. Ramu’s grandfather’s age is 13 years more than the sum of Ramu’s age and Ramu’s father’s age. How do you find Ramu’s grandfather’s age?
Since Ramu’s age is not given, let us take it to be y years. Then his father’s age is 3y years. To find Ramu’s grandfather’s age we have to take the sum of Ramu’s age (y) and his father’s age (3y) and to the sum add 13, that is, we have to take the sum of y, 3y and 13.
3. In a garden, roses and marigolds are planted in square plots. The length of the square plot in which marigolds are planted is 3 metres greater than the length of the square plot in which roses are planted. How much bigger in area is the marigold plot than the rose plot?
Let us take l metres to be length of the side of the rose plot. The length of the side of the marigold plot will be (l + 3) metres. Their respective areas will be l2 and (l + 3)2. The difference between (l2 + 3)2 and l2 will decide how much bigger in area the marigold plot is.
In all the three situations, we had to carry out addition or subtraction of algebraic expressions. There are a number of real life problems in which we need to use expressions and do arithmetic operations on them. In this section, we shall see how algebraic expressions are added and subtracted.
Try These
  Think of atleast two situations in each of which you need to form two algebraic expressions and add or subtract them
Adding and subtracting like terms
The simplest expressions are monomials. They consist of only one term. To begin with we shall learn how to add or subtract like terms.
- 	Let us add 3x and 4x. We know x is a number and so also are 3x and 4x. 				Now,	3x + 4x =	(3 × x) + (4 × x)
= (3 + 4) × x (using distributive law)
= 7 × x = 7x
or 3x + 4x = 7x
Since variables are numbers, we can use distributive law for them.
-  Let us next add 8xy, 4xy and 2xy
8xy + 4xy + 2xy = (8 × xy) + (4 × xy) + (2 × xy)
= (8 + 4 + 2) × xy
= 14 × xy = 14xy
or 8xy + 4xy + 2xy = 14 xy
- 	Let us subtract 4n from 7n.
7n – 4n = (7 × n) – (4 × n)
= (7 – 4) × n = 3 × n = 3n
or 7n – 4n = 3n
- 	In the same way, subtract 5ab from 11ab.
11ab – 5ab = (11 – 5) ab = 6ab
Thus, the sum of two or more like terms is a like term with a numerical coefficient equal to the sum of the numerical coefficients of all the like terms.
Similarly, the difference between two like terms is a like term with a numerical coefficient equal to the difference between the numerical coefficients of the two like terms.
Note, unlike terms cannot be added or subtracted the way like terms are added or subtracted. We have already seen examples of this, when 5 is added to x, we write the result as (x + 5). Observe that in (x + 5) both the terms 5 and x are retained.
Similarly, if we add the unlike terms 3xy and 7, the sum is 3xy + 7.
If we subtract 7 from 3xy, the result is 3xy – 7
Adding and subtracting general algebraic expressions
Let us take some examples:
- 	Add 3x + 11 and 7x – 5
The sum = 3x + 11 + 7x – 5
Now, we know that the terms 3x and 7x are like terms and so also are 11 and – 5.
Further 3x + 7x = 10 x and 11 + (– 5) = 6. We can, therefore, simplify the sum as:
The sum = 3x + 11 + 7x – 5
= 3x + 7x + 11 – 5 (rearranging terms)
= 10x + 6
Hence, 3x + 11 + 7x – 5 = 10x + 6
- 	Add 3x + 11 + 8z and 7x – 5.
The sum = 3x + 11 + 8z + 7x – 5
= 3x + 7x + 11 – 5 + 8z (rearranging terms)
Note we have put like terms together; the single unlike term 8z will remain as it is.
- Therefore, the sum = 10x + 6 + 8z
 Subtract a – b from 3a – b + 4
The difference = 3a – b + 4 – (a – b)
= 3a – b + 4 – a + b
Observe how we took (a – b) in brackets and took care of signs in opening the bracket. Rearranging the terms to put like terms together,
The difference = 3a – a + b – b + 4
= (3 – 1) a + (1 – 1) b + 4
The difference = 2a + (0) b + 4 = 2a + 4
or 3a – b + 4 – (a – b) = 2a + 4
We shall now solve some more examples on addition and subtraction of expression for practice.
Note, just as
– (5 – 3) = – 5 + 3,
– (a – b) = – a + b.
The signs of algebraic terms are handled in the same way as signs of numbers.
Example 4
Collect like terms and simplify the expression:
12m2 – 9m + 5m – 4m2 – 7m + 10
Solution
Rearranging terms, we have
12m2 – 4m2 + 5m – 9m – 7m + 10
= (12 – 4) m2 + (5 – 9 – 7) m + 10
= 8m2 + (– 4 – 7) m + 10
= 8m2 + (–11) m + 10
= 8m2 – 11m + 10
Example 5
Subtract 24ab – 10b – 18a from 30ab + 12b + 14a.
Solution
30ab + 12b + 14a – (24ab – 10b – 18a)
Try These
  Add and subtract
(i) m – n, m + n
(ii) mn + 5 – 2, mn + 3
= 30ab + 12b + 14a – 24ab + 10b + 18a
= 30ab – 24ab + 12b + 10b + 14a + 18a
= 6ab + 22b + 32a
Note, subtracting a term is the same as adding its inverse. Subtracting –10b is the same as adding 
+10b; Subtracting 
–18a is the same as adding 18a and subtrac-ting 24ab is the same as adding – 24ab. The 
signs shown below the expression to be subtrac-ted are a help in carrying out the subtraction properly.
Alternatively, we write the expressions one below the other with the like terms appearing exactly below like terms as:
Example 6
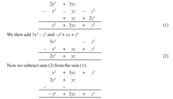
From the sum of 2y2 + 3yz, – y2 – yz – z2 and yz + 2z2, subtract the sum of 3y2 – z2 and –y2 + yz + z2.
Solution
We first add 2y2 + 3yz, – y2 – yz – z2 and yz + 2z2.
Exercise 12.2
1. Simplify combining like terms:
(i) 21b – 32 + 7b – 20b
(ii) – z2 + 13z2 – 5z + 7z3 – 15z
(iii) p – (p – q) – q – (q – p)
(iv) 3a – 2b – ab – (a – b + ab) + 3ab + b – a
(v) 5x2y – 5x2 + 3yx2 – 3y2 + x2 – y2 + 8xy2 – 3y2
(vi) (3y2 + 5y – 4) – (8y – y2 – 4)
2. Add:
(i) 3mn, – 5mn, 8mn, – 4mn
(ii) t – 8tz, 3tz – z, z – t
(iii) – 7mn + 5, 12mn + 2, 9mn – 8, – 2mn – 3
(iv) a + b – 3, b – a + 3, a – b + 3
(v) 14x + 10y – 12xy – 13, 18 – 7x – 10y + 8xy, 4xy
(vi) 5m – 7n, 3n – 4m + 2, 2m – 3mn – 5
(vii) 4x2y, – 3xy2, –5xy2, 5x2y
(viii) 3p2q2 – 4pq + 5, – 10 p2q2, 15 + 9pq + 7p2q2
(ix) ab – 4a, 4b – ab, 4a – 4b
(x) x2 – y2 – 1, y2 – 1 – x2, 1 – x2 – y2
 
  				3. Subtract:
(i) –5y2 from y2
(ii) 6xy from –12xy
(iii) (a – b) from (a + b)
(iv) a (b – 5) from b (5 – a)
(v) –m2 + 5mn from 4m2 – 3mn + 8
(vi) – x2 + 10x – 5 from 5x – 10
(vii) 5a2 – 7ab + 5b2 from 3ab – 2a2 – 2b2
(viii) 4pq – 5q2 – 3p2 from 5p2 + 3q2 – pq
4. (a) What should be added to x2 + xy + y2 to obtain 2x2 + 3xy?
(b) What should be subtracted from 2a + 8b + 10 to get – 3a + 7b + 16?
	5.	What should be taken away from 3x2 – 4y2 + 5xy + 20 to obtain 
– x2 – y2 + 6xy + 20?
6. (a) From the sum of 3x – y + 11 and – y – 11, subtract 3x – y – 11.
		(b)	From the sum of 4 + 3x and 5 – 4x + 2x2, subtract the sum of 3x2 – 5x and 
–x2 + 2x + 5.
 
  				12.7 Finding the Value of an Expression
We know that the value of an algebraic expression depends on the values of the variables forming the expression. There are a number of situations in which we need to find the value of an expression, such as when we wish to check whether a particular value of a variable satisfies a given equation or not.
We find values of expressions, also, when we use formulas from geometry and from everyday mathematics. For example, the area of a square is l2, where l is the length of a side of the square. If l = 5 cm., the area is 52 cm2 or 25 cm2; if the side is 10 cm, the area is 102 cm2 or 100 cm2 and so on. We shall see more such examples in the next section.
Example 7
Find the values of the following expressions for x = 2.
(i) x + 4 (ii) 4x – 3 (iii) 19 – 5x2
(iv) 100 – 10x3
Solution
Putting x = 2
(i) In x + 4, we get the value of x + 4, i.e.,
x + 4 = 2 + 4 = 6
(ii) In 4x – 3, we get
4x – 3 = (4 × 2) – 3 = 8 – 3 = 5
(iii) In 19 – 5x2, we get
19 – 5x2 = 19 – (5 × 22) = 19 – (5 × 4) = 19 – 20 = – 1
(iv) In 100 – 10x3, we get
100 – 10x3 = 100 – (10 × 23) = 100 – (10 × 8) (Note 23 = 8)
= 100 – 80 = 20
Example 8
Find the value of the following expressions when n = – 2.
(i) 5n – 2 (ii) 5n2 + 5n – 2 (iii) n3 + 5n2 + 5n – 2
Solution
 
  				(i) Putting the value of n = – 2, in 5n – 2, we get,
5(– 2) – 2 = – 10 – 2 = – 12
(ii) In 5n2 + 5n – 2, we have,
for n = –2, 5n – 2 = –12
and 5n2 = 5 × (– 2)2 = 5 × 4 = 20 [as (– 2)2 = 4]
Combining,
5n2 + 5n – 2 = 20 – 12 = 8
(iii) Now, for n = – 2,
5n2 + 5n – 2 = 8 and
n3 = (–2)3 = (–2) × (–2) × (–2) = – 8
Combining,
n3 + 5n2 + 5n – 2 = – 8 + 8 = 0
We shall now consider expressions of two variables, for example, x + y, xy. To work out the numerical value of an expression of two variables, we need to give the values of both variables. For example, the value of (x + y), for x = 3 and y = 5, is 3 + 5 = 8.
Example 9
Find the value of the following expressions for a = 3, b = 2.
(i) a + b (ii) 7a – 4b (iii) a2 + 2ab + b2
(iv) a3 – b3
Solution
Substituting a = 3 and b = 2 in
(i) a + b, we get
a + b = 3 + 2 = 5
(ii) 7a – 4b, we get
7a – 4b = 7 × 3 – 4 × 2 = 21 – 8 = 13.
(iii) a2 + 2ab + b2, we get
a2 + 2ab + b2 = 32 + 2 × 3 × 2 + 22 = 9 + 2 × 6 + 4 = 9 + 12 + 4 = 25
(iv) a3 – b3, we get
a3 – b3 = 33 – 23 = 3 × 3 × 3 – 2 × 2 × 2 = 9 × 3 – 4 × 2 = 27 – 8 = 19
Exercise 12.3
1. If m = 2, find the value of:
(i) m – 2 (ii) 3m – 5 (iii) 9 – 5m
	(iv)	3m2 – 2m – 7	(v)
2. If p = – 2, find the value of:
(i) 4p + 7 (ii) – 3p2 + 4p + 7 (iii) – 2p3 – 3p2 + 4p + 7
3. Find the value of the following expressions, when x = –1:
(i) 2x – 7 (ii) – x + 2 (iii) x2 + 2x + 1
(iv) 2x2 – x – 2
4. If a = 2, b = – 2, find the value of:
 
  				(i) a2 + b2 (ii) a2 + ab + b2 (iii) a2 – b2
5. When a = 0, b = – 1, find the value of the given expressions:
(i) 2a + 2b (ii) 2a2 + b2 + 1 (iii) 2a2b + 2ab2 + ab
(iv) a2 + ab + 2
6. Simplify the expressions and find the value if x is equal to 2
(i) x + 7 + 4 (x – 5) (ii) 3 (x + 2) + 5x – 7
(iii) 6x + 5 (x – 2) (iv) 4(2x – 1) + 3x + 11
7. Simplify these expressions and find their values if x = 3, a = – 1, b = – 2.
(i) 3x – 5 – x + 9 (ii) 2 – 8x + 4x + 4
(iii) 3a + 5 – 8a + 1 (iv) 10 – 3b – 4 – 5b
(v) 2a – 2b – 4 – 5 + a
8. (i) If z = 10, find the value of z3 – 3(z – 10).
(ii) If p = – 10, find the value of p2 – 2p – 100
9. What should be the value of a if the value of 2x2 + x – a equals to 5, when x = 0?
10. Simplify the expression and find its value when a = 5 and b = – 3.
2(a2 + ab) + 3 – ab
12.8 Using Algebraic Expressions – Formulas and Rules
We have seen earlier also that formulas and rules in mathematics can be written in a concise and general form using algebraic expressions. We see below several examples.
1. The perimeter of an equilateral triangle = 3 × the length of its side. If we denote the length of the side of the equilateral triangle by l, then the perimeter of the equilateral triangle = 3l
2. Similarly, the perimeter of a square = 4l
where l = the length of the side of the square.
3. Perimeter of a regular pentagon = 5l
where l = the length of the side of the pentagon and so on.
 
  				1. If we denote the length of a square by l, then the area of the square = l2
2. If we denote the length of a rectangle by l and its breadth by b, then the area of the rectangle = l × b = lb.
3. Similarly, if b stands for the base and h for the height of a triangle, then the area of the triangle =
.
Once a formula, that is, the algebraic expression for a given quantity is known, the value of the quantity can be computed as required.
For example, for a square of length 3 cm, the perimeter is obtained by putting the value l = 3 cm in the expression of the perimeter of a square, i.e., 4l.
The perimeter of the given square = (4 × 3) cm = 12 cm.
Similarly, the area of the square is obtained by putting in the value of
 l (= 3 cm) in the expression for the area of a square, that is, l2;
Area of the given square = (3)2 cm2 = 9 cm2.
Study the following statements:
1. If a natural number is denoted by n, its successor is (n + 1). We can check this for any natural number. For example, if n = 10, its successor is n + 1=11, which is known.
2. If a natural number is denoted by n, 2n is an even number and (2n + 1) an odd number. Let us check it for any number, say, 15; 2n = 2 × n = 2 × 15 = 30 is indeed an even number and 2n + 1 = 2 × 15 + 1 = 30 + 1 = 31 is indeed an odd number.
Do This
Take (small) line segments of equal length such as matchsticks, tooth pricks or pieces of straws cut into smaller pieces of equal length. Join them in patterns as shown in the figures given:
1. Observe the pattern in Fig 12.1.
It consists of repetitions of the shape made from 4 line segments. As you see for one shape you need 4 segments, for two shapes 7, for three 10 and so on. If n is the number of shapes, then the number of segments required to form n shapes is given by (3n + 1).
You may verify this by taking n = 1, 2, 3, 4, ..., 10, ... etc. For example, if the number of shapes formed is 3, then the number of line segments required is 3 × 3 + 1 = 9 + 1 = 10, as seen from the figure.
2. Now, consider the pattern in Fig 12.2. Here the shape is repeated. The number of segments required to form 1, 2, 3, 4, ... shapes are 3, 5, 7, 9, ... respectively. If n stands for the shapes formed, the number of segments required is given by the expression (2n + 1). You may check if the expression is correct by taking any value of n, say n = 4. Then (2n + 1) = (2 × 4) + 1 = 9, which is indeed the number of line segments required to make 4 s.
Go ahead and discover more such patterns.
Do This
  Make the following pattern of dots. If you take a graph paper or a dot paper, it will be easier to make the patterns.
Observe how the dots are arranged in a square shape. If the number of dots in a row or a column in a particular figure is taken to be the variable n, then the number of dots in the figure is given by the expression n × n = n2. For example, take n = 4. The number of dots for the figure with 4 dots in a row (or a column) is 4 × 4 = 16, as is indeed seen from the figure. You may check this for other values of n. The ancient Greek mathematicians called the number 1, 4, 9, 16, 25, ... square numbers.
.
- 	Some more number patterns
  			Let us now look at another pattern of numbers, this time without any drawing to help us
3, 6, 9, 12, ..., 3n, ...
The numbers are such that they are multiples of 3 arranged in an increasing order, beginning with 3. The term which occurs at the nth position is given by the expression 3n. You can easily find the term which occurs in the 10th position (which is 3 × 10 = 30); 100th position (which is 3 × 100 = 300) and so on.
- 	Pattern in geometry
 
  			What is the number of diagonals we can draw from one vertex of a quadrilateral? Check it, it is one.
From one vertex of a pentagon? Check it, it is 2.
   
 

From one vertex of a hexagon? It is 3.
The number of diagonals we can draw from one vertex of a polygon of n sides is (n – 3). Check it for a heptagon (7 sides) and octagon (8 sides) by drawing figures. What is the number for a triangle (3 sides)? Observe that the diagonals drawn from any one vertex divide the polygon in as many non-overlapping triangles as the number of diagonals that can be drawn from the vertex plus one.
Exercise 12.4
1. Observe the patterns of digits made from line segments of equal length. You will find such segmented digits on the display of electronic watches or calculators.
If the number of digits formed is taken to be n, the number of segments required to form n digits is given by the algebraic expression appearing on the right of each pattern.
How many segments are required to form 5, 10, 100 digits of the kind  ,
, ,
,  .
.
2. Use the given algebraic expression to complete the table of number patterns.
What have We Discussed?
1. Algebraic expressions are formed from variables and constants. We use the operations of addition, subtraction, multiplication and division on the variables and constants to form expressions. For example, the expression 4xy + 7 is formed from the variables x and y and constants 4 and 7. The constant 4 and the variables x and y are multiplied to give the product 4xy and the constant 7 is added to this product to give the expression.
2. Expressions are made up of terms. Terms are added to make an expression. For example, the addition of the terms 4xy and 7 gives the expression 4xy + 7.
3. A term is a product of factors. The term 4xy in the expression 4xy + 7 is a product of factors x, y and 4. Factors containing variables are said to be algebraic factors.
4. The coefficient is the numerical factor in the term. Sometimes anyone factor in a term is called the coefficient of the remaining part of the term.
5. Any expression with one or more terms is called a polynomial. Specifically a one term expression is called a monomial; a two-term expression is called a binomial; and a three-term expression is called a trinomial.
6. Terms which have the same algebraic factors are like terms. Terms which have different algebraic factors are unlike terms. Thus, terms 4xy and – 3xy are like terms; but terms 4xy and – 3x are not like terms.
	7. 	The sum (or difference) of two like terms is a like term with coefficient equal to the sum (or difference) of the coefficients of the two like terms. Thus, 
8xy – 3xy = (8 – 3 )xy, i.e., 5xy.
	8. 	When we add two algebraic expressions, the like terms are added as given above; the unlike terms are left as they are. Thus, the sum of 4x2 + 5x 
and 2x + 3 is 4x2 + 7x + 3; the like terms 5x and 2x add to 7x; the unlike terms 4x2 and 3 are left as they are.
9. In situations such as solving an equation and using a formula, we have to find the value of an expression. The value of the expression depends on the value of the variable from which the expression is formed. Thus, the value of 7x – 3 for x = 5 is 32, since 7(5) – 3 = 35 – 3 = 32.
10. Rules and formulas in mathematics are written in a concise and general form using algebraic expressions:
Thus, the area of rectangle = lb, where l is the length and b is the breadth of the rectangle.
The general (nth) term of a number pattern (or a sequence) is an expression in n. Thus, the nth term of the number pattern 11, 21, 31, 41, . . . is (10n + 1).
