Table of Contents

Chapter 13
Exponents and Powers
13.1 Introduction
Do you know what the mass of earth is? It is 5,970,000,000,000,000,000,000,000 kg!
Can you read this number?
Mass of Uranus is 86,800,000,000,000,000,000,000,000 kg.
Which has greater mass, Earth or Uranus?
Distance between Sun and Saturn is 1,433,500,000,000 m and distance between Saturn and Uranus is 1,439,000,000,000 m. Can you read these numbers? Which distance is less?
These very large numbers are difficult to read, understand and compare. To make these numbers easy to read, understand and compare, we use exponents. In this Chapter, we shall learn about exponents and also learn how to use them.
13.2 Exponents
We can write large numbers in a shorter form using exponents.
Observe 10, 000 = 10 × 10 × 10 × 10 = 104
The short notation 104 stands for the product 10×10×10×10. Here ‘10’ is called the base and ‘4’ the exponent. The number 104 is read as 10 raised to the power of 4 or simply as fourth power of 10. 104 is called the exponential form of 10,000.
We can similarly express 1,000 as a power of 10. Note that
1000 = 10 × 10 × 10 = 103
Here again, 103 is the exponential form of 1,000. 
Similarly, 1,00,000 = 10 × 10 × 10 × 10 × 10 = 105
105 is the exponential form of 1,00,000
In both these examples, the base is 10; in case of 103, the exponent is 3 and in case of 105 the exponent is 5.
We have used numbers like 10, 100, 1000 etc., while writing numbers in an expanded form. For example, 47561 = 4 × 10000 + 7 × 1000 + 5 × 100 + 6 × 10 + 1
This can be written as 4 × 104 + 7 ×103 + 5 × 102 + 6 × 10 + 1.
Try writing these numbers in the same way 172, 5642, 6374.
In all the above given examples, we have seen numbers whose base is 10. However the base can be any other number also. For example:
81 = 3 × 3 × 3 × 3 can be written as 81 = 34, here 3 is the base and 4 is the exponent.
Some powers have special names. For example,
102, which is 10 raised to the power 2, also read as ‘10 squared’ and
103, which is 10 raised to the power 3, also read as ‘10 cubed’.
Can you tell what 53 (5 cubed) means?
53 = 5 × 5 × 5 = 125
So, we can say 125 is the third power of 5.
What is the exponent and the base in 53?
Similarly, 25 = 2 × 2 × 2 × 2 × 2 = 32, which is the fifth power of 2.
In 25, 2 is the base and 5 is the exponent.
In the same way, 243 = 3 × 3 × 3 × 3 × 3 = 35
64 = 2 × 2 × 2 × 2 × 2 × 2 = 26
625 = 5 × 5 × 5 × 5 = 54
Try These
Find five more such examples, where a number is expressed in exponential form. Also identify the base and the exponent in each case.
You can also extend this way of writing when the base is a negative integer.
What does (–2)3 mean?
It is (–2)3 = (–2) × (–2) × (–2) = – 8
Is (–2)4 = 16? Check it.
Instead of taking a fixed number let us take any integer a as the base, and write the numbers as,
a × a = a2 (read as ‘a squared’ or ‘a raised to the power 2’)
a × a × a = a3 (read as ‘a cubed’ or ‘a raised to the power 3’)
a × a × a × a = a4 (read as a raised to the power 4 or the 4th power of a)
..............................
a × a × a × a × a × a × a = a7 (read as a raised to the power 7 or the 7th power of a)
and so on.
a × a × a × b × b can be expressed as a3b2 (read as a cubed b squared)
Try These
Express:
(i) 729 as a power of 3
(ii) 128 as a power of 2
(iii) 343 as a power of 7
a × a × b × b × b × b can be expressed as a2b4 (read as a squared into b raised to the power of 4).
Example 1
Express 256 as a power 2.
Solution
We have 256 = 2 × 2 × 2 × 2 × 2 × 2 × 2 × 2.
So we can say that 256 = 28
Example 2
Which one is greater 23 or 32?
Solution
We have, 23 = 2 × 2 × 2 = 8 and 32 = 3 × 3 = 9.
Since 9 > 8, so, 32 is greater than 23
Example 3
Which one is greater 82 or 28?
Solution
82 = 8 × 8 = 64
28 = 2 × 2 × 2 × 2 × 2 × 2 × 2 × 2 = 256
Clearly, 28 > 82
Example 4
Expand a3 b2, a2 b3, b2 a3, b3 a2. Are they all same?
Solution
a3 b2 = a3 × b2
= (a × a × a) × (b × b)
= a × a × a × b × b
a2 b3 = a2 × b3
= a × a × b × b × b
b2 a3 = b2 × a3
= b × b × a × a × a
b3 a2 = b3 × a2
= b × b × b × a × a
Note that in the case of terms a3 b2 and a2 b3 the powers of a and b are different. Thus a3 b2 and a2 b3 are different.
On the other hand, a3 b2 and b2 a3 are the same, since the powers of a and b in these two terms are the same. The order of factors does not matter.
Thus, a3 b2 = a3 × b2 = b2 × a3 = b2 a3. Similarly, a2 b3 and b3 a2 are the same.
Example 5
Express the following numbers as a product of powers of prime factors:
(i) 72 (ii) 432 (iii) 1000 (iv) 16000
Solution
(i) 72 = 2 × 36 = 2 × 2 × 18
= 2 × 2 × 2 × 9
= 2 × 2 × 2 × 3 × 3 = 23 × 32
Thus, 72 = 23 × 32 (required prime factor product form)
(ii) 432 = 2 × 216 = 2 × 2 × 108 = 2 × 2 × 2 × 54
= 2 × 2 × 2 × 2 × 27 = 2 × 2 × 2 × 2 × 3 × 9
= 2 × 2 × 2 × 2 × 3 × 3 × 3
or 432 = 24 × 33 (required form)
(iii) 1000 = 2 × 500 = 2 × 2 × 250 = 2 × 2 × 2 × 125
= 2 × 2 × 2 × 5 × 25 = 2 × 2 × 2 × 5 × 5 × 5
or 1000 = 23 × 53
Atul wants to solve this example in another way:
1000 = 10 × 100 = 10 × 10 × 10
= (2 × 5) × (2 × 5) × (2 × 5) (Since10 = 2 × 5)
= 2 × 5 × 2 × 5 × 2 × 5 = 2 × 2 × 2 × 5 × 5 × 5
or 1000 = 23 × 53
Is Atul’s method correct?
(iv) 16,000 = 16 × 1000 = (2 × 2 × 2 × 2) ×1000 = 24 ×103 (as 16 = 2 × 2 × 2 × 2)
= (2 × 2 × 2 × 2) × (2 × 2 × 2 × 5 × 5 × 5) = 24 × 23 × 53
(Since 1000 = 2 × 2 × 2 × 5 × 5 × 5)
= (2 × 2 × 2 × 2 × 2 × 2 × 2 ) × (5 × 5 × 5)
or, 16,000 = 27 × 53
Example 6
Work out (1)5, (–1)3, (–1)4, (–10)3, (–5)4.
Solution
(i) We have (1)5 = 1 × 1 × 1 × 1 × 1 = 1
In fact, you will realise that 1 raised to any power is 1.
(ii) (–1)3 = (–1) × (–1) × (–1) = 1 × (–1) = –1
(iii) (–1)4 = (–1) × (–1) × (–1) × (–1) = 1 ×1 = 1
You may check that (–1) raised to any odd power is (–1),
and (–1) raised to any even power is (+1).
(iv) (–10)3 = (–10) × (–10) × (–10) = 100 × (–10) = – 1000
(v) (–5)4 = (–5) × (–5) × (–5) × (–5) = 25 × 25 = 625
Exercise 13.1
1. Find the value of:
(i) 26 (ii) 93 (iii) 112 (iv) 54
2. Express the following in exponential form:
(i) 6 × 6 × 6 × 6 (ii) t × t (iii) b × b × b × b
(iv) 5 × 5× 7 × 7 × 7 (v) 2 × 2 × a × a (vi) a × a × a × c × c × c × c × d
3. Express each of the following numbers using exponential notation:
(i) 512 (ii) 343 (iii) 729 (iv) 3125
4. Identify the greater number, wherever possible, in each of the following?
(i) 43 or 34 (ii) 53 or 35 (iii) 28 or 82
(iv) 1002 or 2100 (v) 210 or 102
5. Express each of the following as product of powers of their prime factors:
(i) 648 (ii) 405 (iii) 540 (iv) 3,600
6. Simplify:
(i) 2 × 103 (ii) 72 × 22 (iii) 23 × 5 (iv) 3 × 44
(v) 0 × 102 (vi) 52 × 33 (vii) 24 × 32 (viii) 32 × 104
7. Simplify:
(i) (– 4)3 (ii) (–3) × (–2)3 (iii) (–3)2 × (–5)2
(iv) (–2)3 × (–10)3
8. Compare the following numbers:
(i) 2.7 × 1012 ; 1.5 × 108 (ii) 4 × 1014 ; 3 × 1017
13.3 Laws of Exponents
13.3.1 Multiplying Powers with the Same Base
(i) Let us calculate 22 × 23
22 × 23 = (2 × 2) × (2 × 2 × 2)
= 2 × 2 × 2 × 2 × 2 = 25 = 22+3
Note that the base in 22 and 23 is same and the sum of the exponents, i.e., 2 and 3 is 5
(ii) (–3)4 × (–3)3 = [(–3) × (–3) × (–3)× (–3)] × [(–3) × (–3) × (–3)]
= (–3) × (–3) × (–3) × (–3) × (–3) × (–3) × (–3)
= (–3)7
= (–3)4+3
Again, note that the base is same and the sum of exponents, i.e., 4 and 3, is 7
(iii) a2 × a4 = (a × a) × (a × a × a × a)
= a × a × a × a × a × a = a6
Try These
Simplify and write in exponential form:
(i) 25 × 23
(ii) p3 × p2
(iii) 43 ×42
(iv) a3× a2 × a7
(v) 53 × 57 × 512 (vi) (–4)100 × (–4)20
(Note: the base is the same and the sum of the exponents is 2 + 4 = 6)
Similarly, verify:
42 × 42 = 42+2
32 × 33 = 32+3
Can you write the appropriate number in the box.
(–11)2 × (–11)6 = (–11)
b2 × b3 = b
(Remember, base is same; b is any integer).
c3 × c4 = c
(c is any integer)
d10 × d20 = d
From this we can generalise that for any non-zero integer a, where m and n are whole numbers,
am × an = am + n
Caution!
Consider 23 × 32
Can you add the exponents? No! Do you see ‘why’? The base of 23 is 2 and base of 32 is 3. The bases are not same.
13.3.2 Dividing Powers with the Same Base
Let us simplify 37 ÷ 34?
37 ÷ 34 =
= 
= 3 × 3 × 3 = 33 = 37 – 4
Thus 37 ÷ 34 = 37 – 4
(Note, in 37 and 34 the base is same and 37 ÷ 34 becomes 37–4)
Similarly,
56 ÷ 52 = 
= 5 × 5 × 5 × 5 = 54 = 56 – 2
or 56 ÷ 52 = 56 – 2
Let a be a non-zero integer, then,
a4 ÷ a2 = 
or a4 ÷ a2 = a4 – 2
Now can you answer quickly?
108 ÷ 103 = 108 – 3 = 105
79 ÷ 76 = 7
a8 ÷ a5 = a
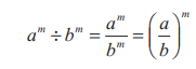
For non-zero integers b and c,
b10 ÷ b5 = b
c100 ÷ c90 = c
In general, for any non-zero integer a,
am ÷ an = am – n
where m and n are whole numbers and m > n.
Try These
Simplify and write in exponential form: (eg., 116 ÷ 112 = 114)
(i) 29 ÷ 23 (ii) 108 ÷ 104 (iii) 911 ÷ 97 (iv) 2015 ÷ 2013 (v) 713 ÷ 710
13.3.3 Taking Power of a Power
Consider the following
Simplify
;
Now,
means 23 is multiplied two times with itself.
= 23 × 23
= 23 + 3 (since am × an = am + n)
= 26 = 23 × 2
Thus
= 23×2
Similarly
= 32 × 32 × 32 × 32
= 32 + 2 + 2 + 2
= 38 (Observe 8 is the product of 2 and 4).
= 32 × 4
Can you tell what would
would be equal to?
So
= 23 × 2 = 26
= 32 × 4 = 38
= 72 × 10 = 720
= a 2 × 3 = a6
= am × 3 = a3m
From this we can generalise for any non-zero integer ‘a’, where ‘m’ and ‘n’ are whole numbers,
= amn
Example 7
Can you tell which one is greater (52) × 3 or
?
Solution
(52) × 3 means 52 is multiplied by 3 i.e., 5 × 5 × 3 = 75
but
means 52 is multiplied by itself three times i.e. ,
52 × 52 × 52 = 56 = 15,625
Therefore (52)3 > (52) × 3
13.3.4 Multiplying Powers with the Same Exponents
Try These
Put into another form using
am × bm = (ab)m:
(i) 43 × 23 (ii) 25 × b5
(iii) a2 × t2 (iv) 56 × (–2)6
(v) (–2)4 × (–3)4
Can you simplify 23 × 33? Notice that here the two terms 23 and 33 have different bases, but the same exponents.
Now, 23 × 33 = (2 × 2 × 2) × (3 × 3 × 3)
= (2 × 3) × (2 × 3) × (2 × 3)
= 6 × 6 × 6
= 63 (Observe 6 is the product of bases 2 and 3)
Consider 44 × 34 = (4 × 4 × 4 × 4) × (3 × 3 × 3 × 3)
= (4 × 3) × (4 × 3) × (4 × 3) × (4 × 3)
= 12 × 12 × 12 × 12
= 124
Consider, also, 32 × a2 = (3 × 3) × (a × a)
= (3 × a) × (3 × a)
= (3 × a)2
= (3a)2 (Note: 3×a = 3a )
Similarly, a4 × b4 = (a × a × a × a) × (b × b × b × b)
= (a × b) × (a × b) × (a × b) × (a × b)
= (a × b)4
= (ab)4 (Note a × b = ab)
In general, for any non-zero integer a
am × bm = (ab)m (where m is any whole number)
Example 8
Express the following terms in the exponential form:
(i) (2 × 3)5 (ii) (2a)4 (iii) (– 4m)3
Solution
(i) (2 × 3)5 = (2 × 3) × (2 × 3) × (2 × 3) × (2 × 3) × (2 × 3)
= (2 × 2 × 2 × 2 × 2) × (3 × 3× 3 × 3 × 3)
= 25 × 35
(ii) (2a)4 = 2a × 2a × 2a × 2a
= (2 × 2 × 2 × 2) × (a × a × a × a)
= 24 × a4
(iii) (– 4m)3 = (– 4 × m)3
= (– 4 × m) × (– 4 × m) × (– 4 × m)
= (– 4) × (– 4) × (– 4) × (m × m × m) = (– 4)3 × (m)3
13.3.5 Dividing Powers with the Same Exponents
What is a0?
Obeserve the following pattern:
26 = 64
25 = 32
24 = 16
23 = 8
22 = ?
21 = ?
20 = ?
You can guess the value of 20 by just studying the pattern!
You find that 20 = 1
If you start from 36 = 729, and proceed as shown above finding 35, 34, 33,... etc, what will be 30 = ?
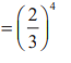
Observe the following simplifications:
(i) 
(ii) 
From these examples we may generalise
where a and b are any non-zero integers and m is a whole number.
Example 9
Expand: (i)
Solution
=
= 
=
= 
- Numbers with exponent zero
Can you tell what
equals to?
=
by using laws of exponents
35 ÷ 35 = 35 – 5 = 30
So 30 = 1
Can you tell what 70 is equal to?
73 ÷73 = 73 – 3 = 70
And
=
Therefore 70 = 1
Similarly a3 ÷ a3 = a3–3 = a0
And a3 ÷ a3 =
Thus a0 = 1 (for any non-zero integer a)
So, we can say that any number (except 0) raised to the power (or exponent) 0 is 1.
13.4 Miscellaneous Examples using the Laws of Exponents
Let us solve some examples using rules of exponents developed.
Example 10
Write exponential form for 8 × 8 × 8 × 8 taking base as 2.
Solution
We have, 8 × 8 × 8 × 8 = 84
But we know that 8 = 2 × 2 × 2 = 23
Therefore 84 = (23)4 = 23 × 23 × 23 × 23
= 23 × 4 [You may also use (am)n = amn]
= 212
Example 11
Simplify and write the answer in the exponential form.
(i)
(ii) 23 × 22 × 55 (iii) (62 × 64) ÷ 63
(iv) [(22)3 × 36] × 56 (v) 82 ÷ 23
Solution
(i)
=
= 35×35 = 35+5 = 310
(ii) 23 × 22 × 55 = 23+2 × 55
= 25 × 55 = (2 × 5)5 = 105
(iii)
= 
= 
(iv)
= [26 × 36] × 56
=
=
= 
(v) 8 = 2 × 2 × 2 = 23
Therefore 82 ÷ 23 = (23)2 ÷ 23
= 26 ÷ 23 = 26–3 = 
Example 12
Simplify:
(i)
(ii) 23 × a3 × 5a4 (iii) 
Solution
(i) We have
= 
= 
=
= 
= 210 – 9 × 310 – 6 = 21 × 34
= 2 × 81 = 162
(ii) 23 × a3 × 5a4 = 23 × a3 × 5 × a4
= 23 × 5 × a3 × a4 = 8 × 5 × a3 + 4
= 40 a7
(ii)
=
= 
=
=
=
= 22 × 32 = 4 × 9 = 36
Note: In most of the examples that we have taken in this Chapter, the base of a power was taken an integer. But all the results of the chapter apply equally well to a base which is a rational number.
Exercise 13.2
1. Using laws of exponents, simplify and write the answer in exponential form:
(i) 32 × 34 × 38 (ii) 615 ÷ 610 (iii) a3 × a2
(iv) 7x ×72 (v)
(vi) 25 × 55
(vii) a4 × b4 (viii)
(ix) 
(x) 8t ÷ 82
2. Simplify and express each of the following in exponential form:
(i) (ii)
(iii) 
(iv)
(v)
(vi) 20 + 30 + 40
(vii) 20 × 30 × 40 (viii) (30 + 20) × 50 (ix) 
(x) (xi)
(xii)

3. Say true or false and justify your answer:
(i) 10 × 1011 = 10011 (ii) 23 > 52 (iii) 23 × 32 = 65
(iv) 30 = (1000)0
4. Express each of the following as a product of prime factors only in exponential form:
(i) 108 × 192 (ii) 270 (iii) 729 × 64
(iv) 768
5. Simplify:
(i)
(ii) (iii)

13.5 Decimal Number System
Let us look at the expansion of 47561, which we already know:
47561 = 4 × 10000 + 7 × 1000 + 5 × 100 + 6 × 10 + 1
We can express it using powers of 10 in the exponent form:
Therefore, 47561 = 4 × 104 + 7 × 103 + 5 × 102 + 6 × 101 + 1 × 100
(Note 10,000 = 104, 1000 = 103, 100 = 102, 10 = 101 and 1 = 100)
Let us expand another number:
104278 = 1 × 100,000 + 0 × 10,000 + 4 × 1000 + 2 × 100 + 7 × 10 + 8 × 1
= 1 × 105 + 0 × 104 + 4 × 103 + 2 × 102 + 7 × 101 + 8 × 100
= 1 × 105 + 4 × 103 + 2 × 102 + 7 × 101 + 8 × 100
Notice how the exponents of 10 start from a maximum value of 5 and go on decreasing by 1 at a step from the left to the right upto 0.
13.6 Expressing Large Numbers in the Standard Form
Let us now go back to the beginning of the chapter. We said that large numbers can be conveniently expressed using exponents. We have not as yet shown this. We shall do so now.
1. Sun is located 300,000,000,000,000,000,000 m from the centre of our Milky Way Galaxy.
2. Number of stars in our Galaxy is 100,000,000,000.
3. Mass of the Earth is 5,976,000,000,000,000,000,000,000 kg.
These numbers are not convenient to write and read. To make it convenient we use powers.
Observe the following:
Try These
Expand by expressing powers of 10 in the exponential form:
(i) 172
(ii) 5,643
(iii) 56,439
(iv) 1,76,428
59 = 5.9 × 10 = 5.9 × 101
590 = 5.9 × 100 = 5.9 × 102
5900 = 5.9 × 1000 = 5.9 × 103
5900 = 5.9 × 10000 = 5.9 × 104 and so on.
We have expressed all these numbers in the standard form. Any number can be expressed as a decimal number between 1.0 and 10.0 including 1.0 multiplied by a power of 10. Such a form of a number is called its standard form. Thus,
5,985 = 5.985 × 1,000 = 5.985 × 103 is the standard form of 5,985.
Note, 5,985 can also be expressed as 59.85 × 100 or 59.85 × 102. But these are not the standard forms, of 5,985. Similarly, 5,985 = 0.5985 × 10,000 = 0.5985 × 104 is also not the standard form of 5,985.
We are now ready to express the large numbers we came across at the beginning of the chapter in this form.
The, distance of sun from the centre of our Galaxy i.e., 300,000,000,000,000,000,000 m can be written as
3.0 × 100,000,000,000,000,000,000 = 3.0 × 1020 m
Now, can you express 40,000,000,000 in the similar way?
Count the number of zeros in it. It is 10.
So, 40,000,000,000 = 4.0 × 1010
Mass of the Earth = 5,976,000,000,000,000,000,000,000 kg
= 5.976 × 1024 kg
Do you agree with the fact, that the number when written in the standard form is much easier to read, understand and compare than when the number is written with 25 digits?
Now,
Mass of Uranus = 86,800,000,000,000,000,000,000,000 kg
= 8.68 × 1025 kg
Simply by comparing the powers of 10 in the above two, you can tell that the mass of Uranus is greater than that of the Earth.
The distance between Sun and Saturn is 1,433,500,000,000 m or 1.4335 × 1012 m. The distance betwen Saturn and Uranus is 1,439,000,000,000 m or 1.439 × 1012 m. The distance between Sun and Earth is 149, 600,000,000 m or 1.496 × 1011m.
Can you tell which of the three distances is smallest?
Example 13
Express the following numbers in the standard form:
(i) 5985.3 (ii) 65,950
(iii) 3,430,000 (iv) 70,040,000,000
Solution
(i) 5985.3 = 5.9853 × 1000 = 5.9853 × 103
(ii) 65,950 = 6.595 × 10,000 = 6.595 × 104
(iii) 3,430,000 = 3.43 × 1,000,000 = 3.43 × 106
(iv) 70,040,000,000 = 7.004 × 10,000,000,000 = 7.004 × 1010
A point to remember is that one less than the digit count (number of digits) to the left of the decimal point in a given number is the exponent of 10 in the standard form. Thus, in 70,040,000,000 there is no decimal point shown; we assume it to be at the (right) end. From there, the count of the places (digits) to the left is 11. The exponent of 10 in the standard form is 11 – 1 = 10. In 5985.3 there are 4 digits to the left of the decimal point and hence the exponent of 10 in the standard form is 4 – 1 = 3.
Exercise 13.3
1. Write the following numbers in the expanded forms:
279404, 3006194, 2806196, 120719, 20068
2. Find the number from each of the following expanded forms:
(a) 8 ×104 + 6 ×103 + 0×102 + 4×101 + 5×100
(b) 4 ×105 + 5×103 + 3×102 + 2×100
(c) 3 ×104 + 7×102 + 5×100
(d) 9 ×105 + 2×102 + 3×101
3. Express the following numbers in standard form:
(i) 5,00,00,000 (ii) 70,00,000 (iii) 3,18,65,00,000
(iv) 3,90,878 (v) 39087.8 (vi) 3908.78
4. Express the number appearing in the following statements in standard form.
(a) The distance between Earth and Moon is 384,000,000 m.
(b) Speed of light in vacuum is 300,000,000 m/s.
(c) Diameter of the Earth is 1,27,56,000 m.
(d) Diameter of the Sun is 1,400,000,000 m.
(e) In a galaxy there are on an average 100,000,000,000 stars.
(f) The universe is estimated to be about 12,000,000,000 years old.
(g) The distance of the Sun from the centre of the Milky Way Galaxy is estimated to be 300,000,000,000,000,000,000 m.
(h) 60,230,000,000,000,000,000,000 molecules are contained in a drop of water weighing 1.8 gm.
(i) The earth has 1,353,000,000 cubic km of sea water.
(j) The population of India was about 1,027,000,000 in March, 2001.
What have We Discussed?
1. Very large numbers are difficult to read, understand, compare and operate upon. To make all these easier, we use exponents, converting many of the large numbers in a shorter form.
2. The following are exponential forms of some numbers?
10,000 = 104 (read as 10 raised to 4)
243 = 35, 128 = 27.
Here, 10, 3 and 2 are the bases, whereas 4, 5 and 7 are their respective exponents. We also say, 10,000 is the 4th power of 10, 243 is the 5th power of 3, etc.
3. Numbers in exponential form obey certain laws, which are:
For any non-zero integers a and b and whole numbers m and n,
(a) am × an = am + n
(b) am ÷ an = am – n, m > n
(c) (am)n = amn
(d) am × bm = (ab)m
(e) am ÷ bm =
(f) a0 = 1
(g) (–1)even number = 1
(–1)odd number = – 1