Table of Contents
7.1 भूमिका
कक्षा IX में, आप पढ़ चुके हैं कि एक तल पर किसी बिंदु की स्थिति निर्धारित करने के लिए, हमें निर्देशांक अक्षों के एक युग्म की आवश्यकता होती है। किसी बिंदु की y-अक्ष से दूरी उस बिंदु का x-निर्देशांक या भुज (abscissa) कहलाती है। किसी बिंदु की x-अक्ष से दूरी, उस बिंदु का y-निर्देशांक या कोटि (ordinate) कहलाती है। x-अक्ष पर स्थित किसी बिंदु के निर्देशांक (x, 0) के रूप के होते हैं तथा y-अक्ष पर स्थित किसी बिंदु के निर्देशांक (0, y) के रूप के होते हैं।
यहाँ आपके लिए एक खेल दिया जा रहा है। एक आलेख कागज़ पर लांबिक अक्षों (perpendicular axes) का एक युग्म खींचिए। अब निम्नलिखित बिंदुओं को आलेखित कीजिए और दिए गए निर्देशों के अनुसार उन्हें मिलाइए। बिंदु A(4, 8) को B(3, 9) से, B को C(3, 8) से, C को D(1, 6) से, D को E(1, 5) से, E को F(3, 3) से, F को G(6, 3) से, G को
H(8, 5) से, H को I(8, 6) से, I को J(6, 8) से, J को K(6, 9) से, K को L(5, 8) से और L को A से मिलाइए। इसके बाद, बिंदुओं P(3.5, 7), Q (3, 6) और R(4, 6) को जोड़ कर एक त्रिभुज बनाइए। साथ ही, एक त्रिभुज बनाने के लिए बिंदुओं X(5.5, 7), Y(5, 6) और Z(6, 6) को मिलाइए। अब एक और त्रिभुज बनाने के लिए, बिंदुओं S(4, 5), T(4.5, 4) और U(5, 5) को मिलाइए। अंत में, बिंदु S को बिंदुओं (0, 5) और (0, 6) से मिलाइए तथा बिंदु U को बिंदुओं
(9, 5) और (9, 6) से मिलाइए। आपको कौन-सा चित्र प्राप्त होता है?
साथ ही, आप यह भी देख चुके हैं कि ax + by + c = 0 (जहाँ a और b एक साथ शून्य न हों) के रूप की दो चरों वाली एक समीकरण को जब आलेखीय रूप से निरूपित
करते हैं, तो एक सरल रेखा प्राप्त होती है। साथ ही, अध्याय 2 में आप देख चुके हैं कि y = ax2 + bx + c (a ≠ 0) का आलेख एक परवलय (parabola) होता है। वस्तुतः, आकृतियों की ज्यामिति का अध्ययन करने के लिए, निर्देशांक ज्यामिति (coordinate geometry) एक बीजीय साधन (algebraic tool) के रूप में विकसित की गई है। यह बीजगणित का प्रयोग करके ज्यामिति का अध्ययन करने में सहायता करती है तथा बीजगणित को ज्यामिति द्वारा समझने में भी सहायक होती है। इसी कारण, निर्देशांक ज्यामिति के विभिन्न क्षेत्रों में व्यापक अनुप्रयोग हैं, जैसे भौतिकी, इंजीनियरिंग, समुद्री-परिवहन (या नौ-गमन) (navigation), भूकंप शास्त्र संबंधी (seismology) और कला।
इस अध्याय में, आप यह सीखेंगे कि दो बिंदुओं, जिनके निर्देशांक दिए हुए हों, के बीच की दूरी किस प्रकार ज्ञात की जाती है तथा तीन दिए हुए बिंदुओं से बने त्रिभुज का क्षेत्रफल किस प्रकार ज्ञात किया जाता है। आप इसका भी अध्ययन करेंगे कि दिए हुए दो बिंदुओं को मिलाने से बने रेखाखंड को एक दिए गए अनुपात में विभाजित करने वाले बिंदु के निर्देशांक किस प्रकार ज्ञात किए जाते हैं।
7.2 दूरी सूत्र
आइए निम्नलिखित स्थिति पर विचार करेंः
एक शहर B एक अन्य शहर A से 36 km पूर्व (east) और 15 km उत्तर (north) की ओर है। आप शहर B की शहर A से दूरी बिना वास्तविक मापन के किस प्रकार ज्ञात कर सकते हैं? आइए देखें। इस स्थिति को, आलेखीय रूप से, आकृति 7.1 की तरह दर्शाया जा सकता है। अब, आप वांछित दूरी ज्ञात करने के लिए, पाइथागोरस प्रमेय का प्रयोग कर सकते हैं।
अब, मान लीजिए दो बिंदु x–अक्ष पर स्थित हैं। क्या हम इनके बीच की दूरी ज्ञात कर सकते हैं? उदाहरणार्थ, आकृति 7.2 के दो बिंदुओं A(4, 0) और B(6, 0) पर विचार कीजिए। बिंदु A और B, x-अक्ष पर स्थित है।

आकृति 7.1
आकृति से आप देख सकते हैं कि OA =4 मात्रक (इकाई) और OB = 6 मात्रक हैं।
अतः, A से B की दूरी AB = OB – OA = (6 – 4) मात्रक = 2 मात्रक है।
इस प्रकार, यदि दो बिंदु x–अक्ष पर स्थित हों, तो हम उनके बीच की दूरी सरलता से ज्ञात कर सकते हैं।
अब, मान लीजिए, हम y–अक्ष पर स्थित कोई दो बिंदु लेते हैं। क्या हम इनके बीच की दूरी ज्ञात कर सकते हैं? यदि बिंदु C(0, 3) और D(0, 8), y–अक्ष पर स्थित हों, तो हम दूरी ऊपर की भाँति ज्ञात कर सकते हैं अर्थात् दूरी CD = (8 – 3) मात्रक = 5 मात्रक है (देखिए आकृति 7.2)।

पुनः, क्या आप आकृति 7.2 में, बिंदु C से बिंदु A की दूरी ज्ञात कर सकते हैं? चूँकि OA = 4 मात्रक और OC = 3 मात्रक हैं, इसलिए C से A की दूरी AC =
= 5 मात्रक है। इसी प्रकार, आप D से B की दूरी BD = 10 मात्रक ज्ञात कर सकते हैं।

PQ2 = PT2 + QT2
= 22 + 22 = 8
अतः PQ =
मात्रक हुआ।
आप दो भिन्न-भिन्न चतुर्थांशों में स्थित बिंदुओं के बीच की दूरी कैसे ज्ञात करेंगे?
बिंदुओं P(6, 4) और Q(–5, –3) पर विचार कीजिए (देखिए आकृति 7.4)। x-अक्ष पर लंब QS खींचिए। साथ ही, बिंदु P से बढ़ाई हुई QS पर PT लंब खींचिए जो y-अक्ष को बिंदु R पर प्रतिच्छेद करे।
आकृति 7.4
तब, PT = 11 मात्रक और QT = 7 मात्रक है (क्यों?)
समकोण त्रिभुज PTQ में, पाइथागोरस प्रमेय के प्रयोग से, हमें प्राप्त होता हैः
PQ =
=
मात्रक
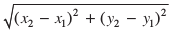
आइए, अब किन्हीं दो बिंदुओं P(x1, y1) और Q(x2, y2) के बीच की दूरी ज्ञात करें। x-अक्ष पर लंब PR और QS खींचिए। P से QS पर एक लंब खींचिए, जो उसे T पर प्रतिच्छेद करे (देखिए आकृति 7.5)।

आकृति 7.5
तब, OR = x1, OS = x2 है। अतः, RS = x2 – x1 = PT है।
साथ ही, SQ = y2 और ST = PR = y1 है। अतः, QT = y2 – y1 है।
अब, ∆ PTQ में, पाइथागोरस प्रमेय के प्रयोग से, हमें
प्राप्त होता है:
PQ2 = PT2 + QT2
= (x2 – x1)2 + (y2 – y1)2
अतः PQ = 
ध्यान दें कि चूँकि दूरी सदैव ऋणेतर होती है, हम केवल धनात्मक वर्गमूल लेते हैं। अतः P(x1, y1) और Q(x2, y2) के बिंदुओं के बीच की दूरी है
PQ =
जो दूरी सूत्र (distance formula) कहलाता है।
टिप्पणियाँ :
1. विशेष रूप से, बिंदु P(x, y) की मूल बिंदु O(0, 0) से दूरी
OP =
होती है।
2. हम PQ =
भी लिख सकते हैं (क्यों?)
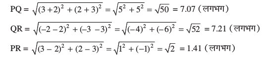
उदाहरण 1 : क्या बिंदु (3, 2), (–2, –3) और (2, 3) एक त्रिभुज बनाते हैं? यदि हाँ, तो बताइए कि किस प्रकार का त्रिभुज बनता है।
हल : आइए PQ, QR और PR ज्ञात करने के लिए दूरी सूत्र का प्रयोग करें, जहाँ P(3, 2), Q(–2, –3) और R(2, 3) दिए हुए बिंदु हैं। हमें प्राप्त होता हैः

चूँकि इन तीन दूरियों में से किन्हीं दो का योग तीसरी दूरी से अधिक है, इसलिए इन बिंदुओं P, Q और R से एक त्रिभुज बनता है।
साथ ही, यहाँ PQ2 + PR2 = QR2 है। अतः, पाइथागोरस प्रमेय के विलोम से, हमें ज्ञात होता है कि ∠ P = 90° है।
इसलिए, PQR एक समकोण त्रिभुज है।
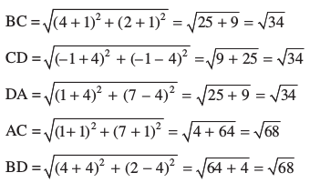
उदाहरण 2 : दर्शाइए कि बिंदु (1, 7), (4, 2), (–1, –1) और (– 4, 4) एक वर्ग के शीर्ष हैं।
हल : मान लीजिए दिए हुए बिंदु A(1, 7), B(4, 2), C(–1, –1) और D(– 4, 4) हैं। ABCD को एक वर्ग दर्शाने की एक विधि यह है कि उसका गुणधर्म जैसा कि वर्ग की सभी भुजाएँ बराबर तथा दोनों विकर्ण बराबर होती हैं, का प्रयोग किया जाए। अब,


यहाँ, AB = BC = CD = DA है और AC = BD है, अर्थात् चतुर्भुज ABCD की चारों भुजाएँ बराबर हैं और दोनों विकर्ण भी बराबर हैं। अतः चतुर्भुज ABCD एक वर्ग है।
वैकल्पिक हल : हम चारों भुजाएँ और एक विकर्ण, मान लीजिए AC ऊपर की तरह ज्ञात करते हैं। यहाँ AD2 + DC2 = 34 + 34 = 68 = AC2 है। अतः, पाइथागोरस प्रमेय के विलोम द्वारा ∠ D = 90° है। चारों भुजाएँ बराबर होने और एक कोण समकोण होने से चतुर्भुज एक वर्ग हो जाता है। अतः ABCD एक वर्ग है।
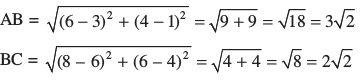
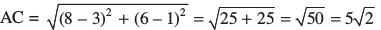
उदाहरण 3 : आकृति 7.6 किसी कक्षा में रखे डेस्कों (desks) की व्यवस्था दर्शाती है। आशिमा, भारती और कैमिला क्रमशः A(3, 1), B(6, 4) और C(8, 6) पर बैठी हैं। क्या आप सोचते हैं कि वे एक ही सीध (in a line) में बैठी हैं? सकारण उत्तर दीजिए।

हल : दूरी सूत्र के प्रयोग से, हमें प्राप्त होता है :


चूँकि
है, अतः हम कह सकते हैं कि A, B और C संरेखी (collinear) हैं। अर्थात्, वे तीनों एक ही सीध में बैठी हैं।
उदाहरण 4 : x और y में एक संबंध ज्ञात कीजिए, ताकि बिंदु (x , y) बिंदुओं (7, 1) और (3, 5) से समदूरस्थ (equidistant) हो।
हल : मान लीजिए P(x, y) बिंदुओं A(7, 1) और B(3, 5) से समदूरस्थ है।
हमें AP = BP दिया है। अतः, AP2 = BP2 है।
अर्थात् (x – 7)2 + (y – 1)2 = (x – 3)2 + (y – 5)2
अर्थात् x2 – 14x + 49 + y2 – 2y + 1 = x2 – 6x + 9 + y2 – 10y + 25
अर्थात् x – y = 2
यही x और y में वांछित संबंध है।
टिप्पणी : ध्यान दीजिए कि समीकरण x – y = 2 का आलेख एक रेखा होता है। आप अपने पिछले अध्ययन से यह जानते हैं कि वह बिंदु जो दो दिए हुए बिंदुओं A और B से समदूरस्थ होता है रेखाखंड AB के लंब समद्विभाजक पर स्थित होता है। अतः, x – y = 2 का आलेख रेखाखंड AB का लंब समद्विभाजक है (देखिए आकृति 7.7)।

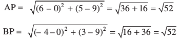
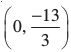
उदाहरण 5 : y-अक्ष पर एक एेसा बिंदु ज्ञात कीजिए, जो बिंदुओं A(6, 5) और B(– 4, 3) से समदूरस्थ हो।
हल : हम जानते हैं कि y-अक्ष पर स्थित कोई भी बिंदु (0, y) के रूप का होता है। अतः, मान लीजिए कि बिंदु P(0, y) बिंदुओं A और B से समदूरस्थ है। तब,
(6 – 0)2 + (5 – y)2 = (– 4 – 0)2 + (3 – y)2
या 36 + 25 + y2 – 10y = 16 + 9 + y2 – 6y
या 4y = 36
या y = 9
अतः, वांछित बिंदु (0, 9) है।
आइए अपने हल की जाँच करेंः

टिप्पणी : ऊपर दी गई टिप्पणी का प्रयोग करने से, हम देखते हैं कि (0, 9), y-अक्ष और रेखाखंड AB के लंब समद्विभाजक का प्रतिच्छेद बिंदु है।
प्रश्नावली 7.1
1. बिंदुओं के निम्नलिखित युग्मों के बीच की दूरियाँ ज्ञात कीजिएः
(i) (2, 3), (4, 1)
(ii) (– 5, 7), (– 1, 3)
(iii) (a, b), (– a, – b)
2. बिंदुओं (0, 0) और (36, 15) के बीच की दूरी ज्ञात कीजिए। क्या अब आप अनुच्छेद 7.2 में दिए दोनों शहरों A और B के बीच की दूरी ज्ञात कर सकते हैं?
3. निर्धारित कीजिए कि क्या बिंदु (1, 5), (2, 3) और (– 2, – 11) संरेखी हैं।
4. जाँच कीजिए कि क्या बिंदु (5, – 2), (6, 4) और (7, – 2) एक समद्विबाहु त्रिभुज के शीर्ष हैं।
5. किसी कक्षा में, चार मित्र बिंदुओं A, B, C और D पर बैठे हुए हैं, जैसाकि आकृति 7.8 में दर्शाया गया है। चंपा और चमेली कक्षा के अंदर आती हैं और कुछ मिनट तक देखने के बाद, चंपा चमेली से पूछती है, ‘क्या तुम नहीं सोचती हो कि ABCD एक वर्ग है?’ चमेली इससे सहमत नहीं है। दूरी सूत्र का प्रयोग करके, बताइए कि इनमें कौन सही है।

6. निम्नलिखित बिंदुओं द्वारा बनने वाले चतुर्भुज का प्रकार (यदि कोई है तो) बताइए तथा अपने उत्तर के लिए कारण भी दीजिएः
(i) (– 1, – 2), (1, 0), (– 1, 2), (– 3, 0)
(ii) (–3, 5), (3, 1), (0, 3), (–1, – 4)
(iii) (4, 5), (7, 6), (4, 3), (1, 2)
7. x-अक्ष पर वह बिंदु ज्ञात कीजिए जो (2, –5) और (–2, 9) से समदूरस्थ हैं।
8. y का वह मान ज्ञात कीजिए, जिसके लिए बिंदु P(2, – 3) और Q(10, y) के बीच की दूरी 10 मात्रक है।
9. यदि Q(0, 1) बिंदुओं P(5, –3) और R(x, 6) से समदूरस्थ है, तो x के मान ज्ञात कीजिए। दूरियाँ QR और PR भी ज्ञात कीजिए।
10. x और y में एक एेसा संबंध ज्ञात कीजिए कि बिंदु (x, y) बिंदुओं (3, 6) और (– 3, 4) से समदूरस्थ हो।
7.3 विभाजन सूत्र
आइए अनुच्छेद 7.2 में दी हुई स्थिति को याद करें। मान लीजिए कि टेलीफोन कंपनी शहरों
A और B के बीच में एक प्रसारण टॉवर(relay tower) एेसे स्थान P पर स्थापित करना चाहती है कि टॉवर की B से दूरी उसकी A से दूरी की दुगुनी हो। यदि P रेखाखंड AB पर स्थित है, तो यह AB को 1 : 2 के अनुपात में विभाजित करे। (देखिए आकृति 7.9)। यदि हम A को मूलबिंदु O मानें तथा 1 km को दोनों अक्षों पर 1 मात्रक मानें, तो B के निर्देशांक (36, 15) होंगे। P की स्थिति जानने के लिए हमें P के निर्देशांक ज्ञात करने चाहिए। ये निर्देशांक हम किस प्रकार ज्ञात करें?

मान लीजिए P के निर्देशांक (x, y) हैं। P और B से x-अक्ष पर लंब खींचिए जो इसे क्रमशः D और E पर मिलें। BE पर लंब PC खींचिए जो उससे C पर मिले। तब, अध्याय 6 में, पढ़ी गई AA समरूपता कसौटी के प्रयोग से, ∆ POD और ∆ BPC समरूप हैं।

इन समीकरणों से x = 12 और y = 5 प्राप्त होता है।
आप इसकी जाँच कर सकते हैं कि P(12, 5) प्रतिबंध OP : PB = 1 : 2 को संतुष्ट करता है।
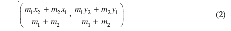
आइए अब उपरोक्त उदाहरण से प्राप्त की गई समझ के आधार पर विभाजन का व्यापक सूत्र प्राप्त करने का प्रयत्न करें।
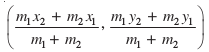
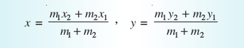
किन्हीं दो बिंदुओं A(x1, y1) और B(x2, y2) पर विचार कीजिए और मान लीजिए बिंदु P (x, y) रेखाखंड AB को m1 : m2 के अनुपात में आंतरिक रूप से (internally) विभाजित करता है, अर्थात्
है (देखिए आकृति 7.10)।

x-अक्ष पर AR, PS और BT लंब खींचिए। x-अक्ष के समांतर AQ और PC खींचिए। तब AA समरूपता कसौटी से,
∆ PAQ ~ ∆ BPC
अतः
(1)
अब AQ = RS = OS – OR = x – x1
PC = ST = OT – OS = x2 – x
PQ = PS – QS = PS – AR = y – y1
BC = BT – CT = BT – PS = y2 – y
इन मानों को (1) में प्रतिस्थापित करने पर, हमें प्राप्त होता हैः

अतः, दो बिंदुओं A(x1, y1) और B(x2, y2) को जोड़ने वाले रेखाखंड AB को m1 : m2 के अनुपात में आंतरिक रूप से विभाजित करने वाले बिंदु P(x, y) के निर्देशांक हैं ः

उपरोक्त को विभाजन सूत्र (section formula) कहते हैं।
इसी सूत्र को A, P और B से y-अक्ष पर लंब डालकर और ऊपर की भाँति प्रक्रिया अपनाकर भी प्राप्त किया जा सकता है।
यदि P रेखाखंड AB को k : 1 के अनुपात में विभाजित करे, तो बिंदु P के निर्देशांक
होंगे।
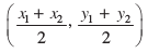
विशिष्ट स्थिति : एक रेखाखंड का मध्य-बिंदु उसे 1 : 1 के अनुपात में विभाजित करता है। अतः, बिंदुओं A(x1, y1) और B(x2, y2) को जोड़ने वाले रेखाखंड AB के मध्य-बिंदु के निर्देशांक
होंगे।
आइए अब विभाजन सूत्र पर आधारित कुछ उदाहरण हल करें।
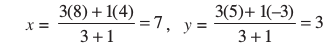
उदाहरण 6 : उस बिंदु के निर्देशांक ज्ञात कीजिए जो बिंदुओं (4, – 3) और (8, 5) को जोड़ने वाले रेखाखंड को आंतरिक रूप से 3 : 1 के अनुपात में विभाजित करता है।
हल : मान लीजिए P(x, y) वांछित बिंदु है। विभाजन सूत्र का प्रयोग करने पर हमें

प्राप्त होता है। अतः (7, 3) ही वांछित बिंदु है।
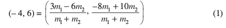
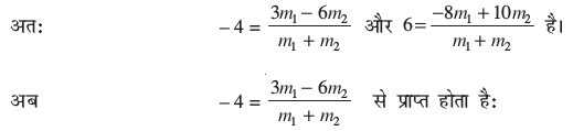
उदाहरण 7 : बिंदु (– 4, 6), बिंदुओं A(– 6, 10) और B(3, – 8) को जोड़ने वाले रेखाखंड को किस अनुपात में विभाजित करता है?
हल : मान लीजिए (– 4, 6) रेखाखंड AB को आंतरिक रूप से m1 : m2 के अनुपात में विभाजित करता है। विभाजन सूत्र के प्रयोग से, हमें प्राप्त होता हैः

याद कीजिए कि यदि (x, y) = (a, b) हो, तो x = a और y = b होता है।

– 4m1 – 4m2 = 3m1 – 6m2
अर्थात् 7m1 = 2m2
या m1 : m2 = 2 : 7
आपको इसकी जाँच कर लेनी चाहिए कि यह अनुपात y-निर्देशांक को भी संतुष्ट करता है।
अब
(m2 से ऊपर नीचे भाग देने पर)

अतः बिंदु (– 4, 6), बिंदुओं A(– 6, 10) और B(3, – 8) को जोड़ने वाले रेखाखंड को 2 : 7 के अनुपात में विभाजित करता है।
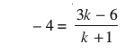
वैकल्पिक हल : अनुपात m1 : m2 को
या k : 1 के रूप में लिखा जा सकता है। मान लीजिए बिंदु (– 4, 6) रेखाखंड AB को आंतरिक रूप से k : 1 के अनुपात में विभाजित करता है। विभाजन सूत्र द्वारा, हमें प्राप्त होता हैः
(2)
अतः 
या – 4k – 4 = 3k – 6
या 7k = 2
या k : 1 = 2 : 7
आप y-निर्देशांक के लिए भी इसकी जाँच कर सकते हैं।
अतः, बिंदु (– 4, 6), बिंदुओं A(– 6, 10) और B(3, – 8) को जोड़ने वाले रेखाखंड को 2 : 7 के अनुपात में विभाजित करता है।
टिप्पणी : आप इस अनुपात को दूरियाँ PA और PB ज्ञात करके और फिर उनके अनुपात लेकर भी प्राप्त कर सकते हैं, जबकि आपको यह जानकारी हो कि बिंदु A, P और B संरेखी हैं।
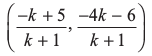
उदाहरण 8 : बिंदुओं A(2, – 2) और B(– 7, 4) को जोड़ने वाले रेखाखंड को सम-त्रिभाजित करने वाले बिंदुओं के निर्देशांक ज्ञात कीजिए।
हल : मान लीजिए रेखाखंड AB को सम-त्रिभाजित करने वाले बिंदु P और Q हैं, अर्थात् AP = PQ = QB है (देखिए आकृति 7.11)।

अतः, P रेखाखंड AB को आंतरिक रूप से 1 : 2 के अनुपात में विभाजित करता है। अतः,
P के निर्देशांक सूत्र द्वारा, निम्नलिखित हैंः

अब, Q रेखाखंड AB को आंतरिक रूप से 2 : 1 के अनुपात में विभाजित करता है। अतः
Q के निर्देशांक हैंः
अर्थात् (– 4, 2)
अतः, बिंदुओं A और B को जोड़ने वाले रेखाखंड को सम-त्रिभाजित करने वाले बिंदुओं के निर्देशांक (–1, 0) और (– 4, 2) हैं।
टिप्पणी : हम Q के निर्देशांक उसे PB का मध्य-बिंदु मानते हुए भी ज्ञात कर सकते थे। इसमें हमें मध्य-बिंदु वाले सूत्र का प्रयोग करना पड़ता।
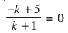
उदाहरण 9 : बिंदुओं (5, –6) और (–1, –4) को जोड़ने वाले रेखाखंड को y-अक्ष किस अनुपात में विभाजित करती है? इस प्रतिच्छेद बिंदु के निर्देशांक भी ज्ञात कीजिए।
हल : मान लीजिए वांछित अनुपात k : 1 है। तब, विभाजन सूत्र द्वारा, उस रेखाखंड को
k : 1 के अनुपात में विभाजित करने वाले बिंदु के निर्देशांक हैं : 
यह बिंदु y-अक्ष पर स्थित है और हम जानते हैं कि y-अक्ष पर भुज 0 होता है।
अतः 
इसलिए k = 5 है।
अर्थात् वांछित अनुपात 5 : 1 है। k का मान 5 रखने पर हमें प्रतिच्छेद बिंदु
प्राप्त होता है।
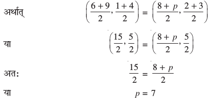
उदाहरण 10 : यदि बिंदु A(6, 1), B(8, 2), C(9, 4) और D(p, 3) एक समांतर चतुर्भुज के शीर्ष इसी क्रम में हों, तो p का मान ज्ञात कीजिए।
हल : हम जानते हैं कि समांतर चतुर्भुज के विकर्ण परस्पर समद्विभाजित करते हैं।
अतः, विकर्ण AC के मध्य बिंदु के निर्देशांक = विकर्ण BD के मध्य-बिंदु के निर्देशांक

प्रश्नावली 7.2
1. उस बिंदु के निर्देशांक ज्ञात कीजिए, जो बिंदुओं (–1, 7) और (4, –3) को मिलाने वाले रेखाखंड को 2 : 3 के अनुपात में विभाजित करता है।
2. बिंदुओं (4, –1) और (–2, –3) को जोड़ने वाले रेखाखंड को सम-त्रिभाजित करने वाले बिंदुओं के निर्देशांक ज्ञात कीजिए।
3. आपके स्कूल में खेल-कूद क्रियाकलाप आयोजित करने के लिए, एक आयताकार मैदान ABCD में, चूने से परस्पर 1m की दूरी पर पंक्तियाँ बनाई गई हैं। AD के अनुदिश परस्पर 1m की दूरी पर 100 गमले रखे गए हैं, जैसा कि आकृति 7.12 में दर्शाया गया है। निहारिका दूसरी पंक्ति में AD के
भाग के बराबर की दूरी दौड़ती है और वहाँ एक हरा झंडा गाड़ देती है। प्रीत आठवीं पंक्ति में AD के
भाग के बराबर की दूरी दौड़ती है और वहाँ एक लाल झंडा गाड़ देती है। दोनों झंडों के बीच की दूरी
क्या है? यदि रश्मि को एक नीला झंडा इन दोनों झंडों को मिलाने वाले रेखाखंड पर ठीक आधी दूरी (बीच में) पर गाड़ना हो तो उसे अपना झंडा कहाँ गाड़ना चाहिए?

4. बिंदुओं (– 3, 10) और (6, – 8) को जोड़ने वाले रेखाखंड को बिंदु (– 1, 6) किस अनुपात में विभाजित करता है।
5. वह अनुपात ज्ञात कीजिए जिसमें बिंदुओं A(1, – 5) और B(– 4, 5) को मिलाने वाला रेखाखंड x-अक्ष से विभाजित होता है। इस विभाजन बिंदु के निर्देशांक भी ज्ञात कीजिए।
6. यदि बिंदु (1, 2), (4, y), (x, 6) और (3, 5), इसी क्रम में लेने पर, एक समांतर चतुर्भुज के शीर्ष हो तो x और y ज्ञात कीजिए।
7. बिंदु A के निर्देशांक ज्ञात कीजिए, जहाँ AB एक वृत्त का व्यास है जिसका केंद्र (2, – 3) है तथा B के निर्देशांक (1, 4) हैं।
8. यदि A और B क्रमशः (– 2, – 2) और (2, – 4) हो तो बिंदु P के निर्देशांक ज्ञात कीजिए ताकि AP =
हो और P रेखाखंड AB पर स्थित हो।
9. बिंदुओं A(– 2, 2) और B(2, 8) को जोड़ने वाले रेखाखंड AB को चार बराबर भागों में विभाजित करने वाले बिंदुओं के निर्देशांक ज्ञात कीजिए।
10. एक समचतुर्भुज का क्षेत्रफल ज्ञात कीजिए जिसके शीर्ष, इसी क्रम में, (3, 0), (4, 5), (– 1, 4) और (– 2, – 1) हैं। [संकेत : समचतुर्भुज का क्षेत्रफल =
(उसके विकर्णों का गुणनफल)]
7.4 त्रिभुज का क्षेत्रफल
अपनी पिछली कक्षाओं में, आप यह पढ़ चुके हैं कि एक त्रिभुज का आधार और उसका संगत शीर्षलंब (ऊँचाई) दिए रहने पर, त्रिभुज का क्षेत्रफल किस प्रकार परिकलित किया जाता है। आपने निम्नलिखित सूत्र का प्रयोग किया थाः
त्रिभुज का क्षेत्रफल =
× आधार × शीर्षलंब
कक्षा IX में, आपने त्रिभुज का क्षेत्रफल ज्ञात करने के लिए, हीरोन के सूत्र का भी अध्ययन किया था। अब यदि किसी त्रिभुज के तीनों शीर्षों के निर्देशांक दिए हों, तो क्या आप इसका क्षेत्रफल ज्ञात कर सकते हैं?
एक विधि यह हो सकती है कि आप दूरी सूत्र का प्रयोग करके त्रिभुज की तीनों भुजाएँ ज्ञात करें और फिर हीरोन के सूत्र का प्रयोग करके क्षेत्रफल ज्ञात कर लें। परंतु यह विधि जटिल हो सकती है, विशेष रूप से तब जब भुजाएँ अपरिमेय संख्याओं के रूप में प्राप्त हो जाएँ। आइए देखें कि क्या इसकी कोई अन्य सरल विधि है।
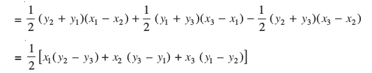
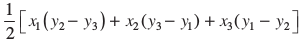
मान लीजिए ABC एक त्रिभुज है, जिसके शीर्ष A(x1, y1), B(x2, y2) और C(x3, y3) हैं। क्रमशः बिंदुओं A, B और C से x-अक्ष पर लंब AP, BQ और CR खींचिए। स्पष्टतः चतुर्भुज ABQP, APRC और BQRC समलंब हैं (देखिए आकृति 7.13)।

अब, आकृति 7.13 से, यह स्पष्ट है कि
∆ ABC का क्षेत्रफल = समलंब ABQP का क्षेत्रफल + समलंब APRC का क्षेत्रफल – समलं BQRC का क्षेत्रफल आप यह भी जानते हैं कि
एक समलंब का क्षेत्रफल =
(समांतर भुजाओं का योग) × (उनके बीच की दूरी)
अतः


अतः, ∆ ABC का क्षेत्रफल व्यंजक 
का संख्यात्मक मान है
आइए इस सूत्र का उपयोग दर्शाने के लिए, कुछ उदाहरणों पर विचार करें।
उदाहरण 11 : उस त्रिभुज का क्षेत्रफल ज्ञात कीजिए जिसके शीर्ष (1, –1), (– 4, 6) और (–3, –5) है।
हल : शीर्षों A(1, –1), B(– 4, 6) और C (–3, –5) वाले त्रिभुज ABC का क्षेत्रफल, उपरोक्त सूत्र द्वारा निम्नलिखित हैः

अतः त्रिभुज का क्षेत्रफल 24 वर्ग मात्रक है।
उदाहरण 12 : बिंदुओं A(5, 2), B(4, 7) और C (7, – 4) से बनने वाले ∆ABC का क्षेत्रफल ज्ञात कीजिए।
हल : शीर्षों A(5, 2), B(4, 7) और C (7, – 4) वाले त्रिभुज ABC का क्षेत्रफल हैः

चूँकि क्षेत्रफल एक माप है, इसलिए यह ऋणात्मक नहीं हो सकता है। अतः, हम क्षेत्रफल के रूप – 2 का संख्यात्मक मान 2 लेंगे। इसलिए त्रिभुज का क्षेत्रफल 2 वर्ग मात्रक है।
उदाहरण 13 : बिंदुओं P(–1.5, 3), Q(6, –2) और R(–3, 4) से बनने वाले त्रिभुज का क्षेत्रफल ज्ञात कीजिए।
हल : दिए हुए बिंदुओं से बनने वाले त्रिभुज का क्षेत्रफल हैः

क्या हम 0 वर्ग मात्रक क्षेत्रफल वाला कोई त्रिभुज प्राप्त कर सकते हैं? इसका अर्थ क्या है? इसका अर्थ है कि यदि किसी त्रिभुज का क्षेत्रफल 0 मात्रक हो, तो उसके शीर्ष संरेखी होंगे।
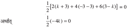
उदाहरण 14 : k का मान ज्ञात कीजिए, यदि बिंदु A(2, 3), B(4, k) और C(6, –3) संरेखी हैं।
हल : चूँकि तीनों बिंदु संरेखी हैं, इसलिए इनसे बनने वाले त्रिभुज का क्षेत्रफल 0 होगा।
अर्थात्

या k = 0
अतः, k का वांछित मान 0 है।
आइए अपने उत्तर की जाँच करें।
∆ ABC का क्षेत्रफल =
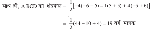
उदाहरण 15 : यदि A(–5, 7), B(– 4, –5), C(–1, –6) और D(4, 5) एक चतुर्भुज ABCD के शीर्ष हैं, तो इस चतुर्भुज का क्षेत्रफल ज्ञात कीजिए।
हल : B को D से मिलाने पर, आपको दो त्रिभुज ABD और BCD प्राप्त होते हैं।


अतः, चतुर्भुज ABCD का क्षेत्रफल = 53 + 19 = 72 वर्ग मात्रक
टिप्पणी : किसी बहुभुज का क्षेत्रफल ज्ञात करने के लिए, हम उसे एेसे त्रिभुजों में बाँटते हैं, जिनमें कोई क्षेत्र सार्वनिष्ठ न हो और फिर इन सभी त्रिभुजों के क्षेत्रफलों को जोड़ लेते हैं।
प्रश्नावली 7.3
1. उस त्रिभुज का क्षेत्रफल ज्ञात कीजिए जिसके शीर्ष हैं:
(i) (2, 3), (–1, 0), (2, – 4)
(ii) (–5, –1), (3, –5), (5, 2)
2. निम्नलिखित में से प्रत्येक में ‘k’ का मान ज्ञात कीजिए, ताकि तीनों बिंदु संरेखी हों ः
(i) (7, –2), (5, 1), (3, k)
(ii) (8, 1), (k, – 4), (2, –5)
3. शीर्षों (0, –1), (2, 1) और (0, 3) वाले त्रिभुज की भुजाओं के मध्य-बिंदुओं से बनने वाले त्रिभुज का क्षेत्रफल ज्ञात कीजिए। इस क्षेत्रफल का दिए हुए त्रिभुज के क्षेत्रफल के साथ अनुपात ज्ञात कीजिए।
4. उस चतुर्भुज का क्षेत्रफल ज्ञात कीजिए जिसके शीर्ष, इसी क्रम में, (– 4, – 2), (– 3, – 5), (3, – 2) और (2, 3) हैं।
5. कक्षा IX में आपने पढ़ा है (अध्याय 9, उदाहरण 3) कि किसी त्रिभुज की एक माध्यिका उसे बराबर क्षेत्रफलों वाले दो त्रिभुजों में विभाजित करती है। उस त्रिभुज ABC के लिए इस परिणाम का सत्यापन कीजिए जिसके शीर्ष A(4, – 6), B(3, –2) और C(5, 2) हैं।
प्रश्नावली 7.4 (एेच्छिक)*
1. बिंदुओं A(2, – 2) और B(3, 7) को जोड़ने वाले रेखाखंड को रेखा 2x + y – 4 = 0 जिस अनुपात में विभाजित करती है उसे ज्ञात कीजिए।
2. x और y में एक संबंध ज्ञात कीजिए, यदि बिंदु (x, y), (1, 2) और (7, 0) संरेखी हैं।
3. बिंदुओं (6, – 6), (3, – 7) और (3, 3) से होकर जाने वाले वृत्त का केंद्र ज्ञात कीजिए।
4. किसी वर्ग के दो सम्मख शीर्ष (–1, 2) और (3, 2) हैं। वर्ग के अन्य दोनों शीर्ष ज्ञात कीजिए।
* यह प्रश्नावली परीक्षा की दृष्टि से नहीं है।
5. कृष्णानगर के एक सेकेंडरी स्कूल के कक्षा X के विद्यार्थियों को उनके बागवानी क्रियाकलाप के लिए, एक आयताकार भूखंड दिया गया है। गुलमोहर की पौध (sapling) को परस्पर 1m की दूरी पर इस भूखंड की परिसीमा (boundary) पर लगाया जाता है। इस भूखंड के अंदर एक त्रिभुजाकार घास लगा हुआ लॉन (lawn) है, जैसाकि आकृति 7.14 में दर्शाया गया है। विद्यार्थियों को भूखंड के शेष भाग में फूलों के पौधे के बीज बोने हैं।

(i) A को मूलबिंदु मानते हुए, त्रिभुज के शीर्षों के निर्देशांक ज्ञात कीजिए।
(ii) यदि मूलबिंदु C हो, तो ∆ PQR के शीर्षों के निर्देशांक क्या होंगे?
साथ ही, उपरोक्त दोनों स्थितियों में, त्रिभुजों के क्षेत्रफल ज्ञात कीजिए। आप क्या देखते हैं?
6. एक त्रिभुज ABC के शीर्ष A(4, 6), B(1, 5) और C(7, 2) हैं। भुजाओं AB और AC को क्रमशः D और
E पर प्रतिच्छेद करते हुए एक रेखा इस प्रकार खींची गई है कि
है। ∆ ADE का क्षेत्रफल परिकलित कीजिए और इसकी तुलना ∆ ABC के क्षेत्रफल से कीजिए।
(प्रमेय 6.2 और प्रमेय 6.6 का स्मरण कीजिए।)
7. मान लीजिए A (4, 2), B(6, 5) और C(1, 4) एक त्रिभुज ABC के शीर्ष हैं।
(i) A से होकर जाने वाली माध्यिका BC से D पर मिलती है। बिंदु D के निर्देशांक ज्ञात कीजिए।
(ii) AD पर स्थित एेसे बिंदु P के निर्देशांक ज्ञात कीजिए कि AP : PD = 2 : 1 हो।
(iii) माध्यिकाओं BE और CF पर एेसे बिंदुओं Q और R के निर्देशांक ज्ञात कीजिए कि
BQ : QE = 2 : 1 हो और CR : RF = 2 : 1 हो।
(iv) आप क्या देखते हैं?
[नोट : वह बिंदु जो तीनों माध्यिकाओं में सार्वनिष्ठ हो, उस त्रिभुज का केंद्रक (centroid) कहलाता है और यह प्रत्येक माध्यिका को 2 : 1 के अनुपात में विभाजित करता है।]
(v) यदि A(x1, y1), B(x2, y2) और C(x3, y3) त्रिभुज ABC के शीर्ष हैं, तो इस त्रिभुज के केंद्रक के निर्देशांक ज्ञात कीजिए।
8. बिंदुओं A(–1, –1), B(–1, 4), C(5, 4) और D(5, –1) से एक आयत ABCD बनता है। P, Q, R और S क्रमशः भुजाओं AB, BC, CD और DA के मध्य बिंदु हैं। क्या चतुर्भुज PQRS एक वर्ग है? क्या यह एक आयत है? क्या यह एक समचतुर्भुज है? सकारण उत्तर दीजिए।
7.5 सारांश
इस अध्याय में, आपने निम्नलिखित तथ्यों का अध्ययन किया हैः
1. P(x1, y1) और Q(x2, y2) के बीच की दूरी
है।
2. बिंदु P(x, y) की मूलबिंदु से दूरी
होती है।
3. उस बिंदु P(x, y) के निर्देशांक जो बिंदुओं A(x1, y1) और B(x2, y2) को जोड़ने वाले रेखाखंड को m1 : m2 के अनुपात में आंतरिक रूप से विभाजित करता है, निम्नलिखित होते हैंः 
4. बिंदुओं P(x1, y1) और Q(x2, y2) को जोड़ने वाले रेखाखंड PQ के मध्यबिंदु के निर्देशांक
होते हैं।
5. बिंदुओं (x1, y1), (x2, y2) और (x3, y3) से बनने वाले त्रिभुज का क्षेत्रफल
व्यंजक 
का संख्यात्मक मान होता है।
पाठकों के लिए विशेष
अनुभाग 7.3 में किसी बिंदु P के लिए जिसके निर्देशांक (x, y) हैं तथा यदि यह बिंदु किन्हीं दो बिंदुओंA(x1, y1) और B(x2, y2) को मिलाने वाले रेखाखंड को आंतरिक रूप में m1 : m2 के अनुपात में विभाजित करता है तो

ध्यान दीजिए कि PA : PB = m1 : m2 तथापि यदि बिंदु P बिंदुओं A और B के बीच स्थित नहीं है, परंतु यह रेखाखंड के वाह्य में स्थित है जहाँPA : PB = m1 : m2 है तब हम कहते हैं कि P बिंदुओं A और B को मिलाने वाले रेखाखंड को वाह्यतः विभाजित करता है। एेसी स्थितियों से संबंधित विभाजन सूत्र का अध्ययन आप उच्चतर कक्षाओं में करेंगे।
