Table of Contents
Chapter 1
RELATIONS AND FUNCTIONS
There is no permanent place in the world for ugly mathematics ... . It may be very hard to define mathematical beauty but that is just as true of beauty of any kind, we may not know quite what we mean by a beautiful poem, but that does not prevent us from recognising one when we read it. — G. H. Hardy
1.1 Introduction
Recall that the notion of relations and functions, domain, co-domain and range have been introduced in Class XI along with different types of specific real valued functions and their graphs. The concept of the term ‘relation’ in mathematics has been drawn from the meaning of relation in English language, according to which two objects or quantities are related if there is a recognisable connection or link between the two objects or quantities. Let A be the set of students of Class XII of a school and B be the set of students of Class XI of the same school. Then some of the examples of relations from A to B are
Lejeune Dirichlet
(1805-1859)
(i) {(a, b) ∈ A × B: a is brother of b},
(ii) {(a, b) ∈ A × B: a is sister of b},
(iii) {(a, b) ∈ A × B: age of a is greater than age of b},
(iv) {(a, b) ∈ A × B: total marks obtained by a in the final examination is less than the total marks obtained by b in the final examination},
(v) {(a, b) ∈ A × B: a lives in the same locality as b}. However, abstracting from this, we define mathematically a relation R from A to B as an arbitrary subset
of A × B.
If (a, b) ∈ R, we say that a is related to b under the relation R and we write as a R b. In general, (a, b) ∈ R, we do not bother whether there is a recognisable connection or link between a and b. As seen in Class XI, functions are special kind of relations.
In this chapter, we will study different types of relations and functions, composition of functions, invertible functions and binary operations.
1.2 Types of Relations
In this section, we would like to study different types of relations. We know that a relation in a set A is a subset of A × A. Thus, the empty set φ and A × A are two extreme relations. For illustration, consider a relation R in the set A = {1, 2, 3, 4} given by R = {(a, b): a – b = 10}. This is the empty set, as no pair (a, b) satisfies the condition a – b = 10. Similarly, R′ = {(a, b) : | a – b | ≥ 0} is the whole set A × A, as all pairs (a, b) in A × A satisfy | a – b | ≥ 0. These two extreme examples lead us to the following definitions.
Definition 1 A relation R in a set A is called empty relation, if no element of A is related to any element of A, i.e., R = φ ⊂ A × A.
Definition 2 A relation R in a set A is called universal relation, if each element of A is related to every element of A, i.e., R = A × A.
Both the empty relation and the universal relation are some times called trivial relations.
Example 1 Let A be the set of all students of a boys school. Show that the relation R in A given by R = {(a, b) : a is sister of b} is the empty relation and R′ = {(a, b) : the difference between heights of a and b is less than 3 meters} is the universal relation.
Solution Since the school is boys school, no student of the school can be sister of any student of the school. Hence, R = φ, showing that R is the empty relation. It is also obvious that the difference between heights of any two students of the school has to be less than 3 meters. This shows that R′ = A × A is the universal relation.
Remark In Class XI, we have seen two ways of representing a relation, namely raster method and set builder method. However, a relation R in the set {1, 2, 3, 4} defined by R = {(a, b) : b = a + 1} is also expressed as a R b if and only if b = a + 1 by many authors. We may also use this notation, as and when convenient.
If (a, b) ∈ R, we say that a is related to b and we denote it as a R b.
One of the most important relation, which plays a significant role in Mathematics, is an equivalence relation. To study equivalence relation, we first consider three types of relations, namely reflexive, symmetric and transitive.
Definition 3 A relation R in a set A is called
(i) reflexive, if (a, a) ∈ R, for every a ∈ A,
(ii) symmetric, if (a1, a2) ∈ R implies that (a2, a1) ∈ R, for all a1, a2 ∈ A.
(iii) transitive, if (a1, a2) ∈ R and (a2, a3) ∈ R implies that (a1, a3) ∈ R, for all a1, a2, a3 ∈ A.
Definition 4 A relation R in a set A is said to be an equivalence relation if R is reflexive, symmetric and transitive.
Example 2 Let T be the set of all triangles in a plane with R a relation in T given by R = {(T1, T2) : T1 is congruent to T2}. Show that R is an equivalence relation.
Solution R is reflexive, since every triangle is congruent to itself. Further, (T1, T2) ∈ R ⇒ T1 is congruent to T2 ⇒ T2 is congruent to T1 ⇒ (T2, T1) ∈ R. Hence, R is symmetric. Moreover, (T1, T2), (T2, T3) ∈ R ⇒ T1 is congruent to T2 and T2 is congruent to T3 ⇒ T1 is congruent to T3 ⇒ (T1, T3) ∈ R. Therefore, R is an equivalence relation.
Example 3 Let L be the set of all lines in a plane and R be the relation in L defined as R = {(L1, L2) : L1 is perpendicular to L2}. Show that R is symmetric but neither reflexive nor transitive.
Solution R is not reflexive, as a line L1 can not be perpendicular to itself, i.e., (L1, L1) ∉ R. R is symmetric as (L1, L2) ∈ R
Fig 1.1
⇒ L1 is perpendicular to L2
⇒ L2 is perpendicular to L1
⇒ (L2, L1) ∈ R.
R is not transitive. Indeed, if L1 is perpendicular to L2 and L2 is perpendicular to L3, then L1 can never be perpendicular to L3. In fact, L1 is parallel to L3, i.e., (L1, L2) ∈ R, (L2, L3) ∈ R but (L1, L3) ∉ R.
Example 4 Show that the relation R in the set {1, 2, 3} given by R = {(1, 1), (2, 2), (3, 3), (1, 2), (2, 3)} is reflexive but neither symmetric nor transitive.
Solution R is reflexive, since (1, 1), (2, 2) and (3, 3) lie in R. Also, R is not symmetric, as (1, 2) ∈ R but (2, 1) ∉ R. Similarly, R is not transitive, as (1, 2) ∈ R and (2, 3) ∈ R but (1, 3) ∉ R.
Example 5 Show that the relation R in the set Z of integers given by R = {(a, b) : 2 divides a – b} is an equivalence relation.
Solution R is reflexive, as 2 divides (a – a) for all a ∈ Z. Further, if (a, b) ∈ R, then 2 divides a – b. Therefore, 2 divides b – a. Hence, (b, a) ∈ R, which shows that R is symmetric. Similarly, if (a, b) ∈ R and (b, c) ∈ R, then a – b and b – c are divisible by 2. Now, a – c = (a – b) + (b – c) is even (Why?). So, (a – c) is divisible by 2. This shows that R is transitive. Thus, R is an equivalence relation in Z.
In Example 5, note that all even integers are related to zero, as (0, ± 2), (0, ± 4) etc., lie in R and no odd integer is related to 0, as (0, ± 1), (0, ± 3) etc., do not lie in R. Similarly, all odd integers are related to one and no even integer is related to one. Therefore, the set E of all even integers and the set O of all odd integers are subsets of Z satisfying following conditions:
(i) All elements of E are related to each other and all elements of O are related to each other.
(ii) No element of E is related to any element of O and vice-versa.
(iii) E and O are disjoint and Z = E ∪ O.
The subset E is called the equivalence class containing zero and is denoted by [0]. Similarly, O is the equivalence class containing 1 and is denoted by [1]. Note that [0] ≠ [1], [0] = [2r] and [1] = [2r + 1], r ∈ Z. Infact, what we have seen above is true for an arbitrary equivalence relation R in a set X. Given an arbitrary equivalence relation R in an arbitrary set X, R divides X into mutually disjoint subsets Ai called partitions or subdivisions of X satisfying:
(i) all elements of Ai are related to each other, for all i.
(ii) no element of Ai is related to any element of Aj, i ≠ j.
(iii) ∪ Aj = X and Ai ∩ Aj = φ, i ≠ j.
The subsets Ai are called equivalence classes. The interesting part of the situation is that we can go reverse also. For example, consider a subdivision of the set Z given by three mutually disjoint subsets A1, A2 and A3 whose union is Z with
A1 = {x ∈ Z : x is a multiple of 3} = {..., – 6, – 3, 0, 3, 6, ...}
A2 = {x ∈ Z : x – 1 is a multiple of 3} = {..., – 5, – 2, 1, 4, 7, ...}
A3 = {x ∈ Z : x – 2 is a multiple of 3} = {..., – 4, – 1, 2, 5, 8, ...}
Define a relation R in Z given by R = {(a, b) : 3 divides a – b}. Following the arguments similar to those used in Example 5, we can show that R is an equivalence relation. Also, A1 coincides with the set of all integers in Z which are related to zero, A2 coincides with the set of all integers which are related to 1 and A3 coincides with the set of all integers in Z which are related to 2. Thus, A1 = [0], A2 = [1] and A3 = [2].
In fact, A1 = [3r], A2 = [3r + 1] and A3 = [3r + 2], for all r ∈ Z.
Example 6 Let R be the relation defined in the set A = {1, 2, 3, 4, 5, 6, 7} by R = {(a, b) : both a and b are either odd or even}. Show that R is an equivalence relation. Further, show that all the elements of the subset {1, 3, 5, 7} are related to each other and all the elements of the subset {2, 4, 6} are related to each other, but no element of the subset {1, 3, 5, 7} is related to any element of the subset {2, 4, 6}.
Solution Given any element a in A, both a and a must be either odd or even, so that (a, a) ∈ R. Further, (a, b) ∈ R ⇒ both a and b must be either odd or even
⇒ (b, a) ∈ R. Similarly, (a, b) ∈ R and (b, c) ∈ R ⇒ all elements a, b, c, must be either even or odd simultaneously ⇒ (a, c) ∈ R. Hence, R is an equivalence relation. Further, all the elements of {1, 3, 5, 7} are related to each other, as all the elements of this subset are odd. Similarly, all the elements of the subset {2, 4, 6} are related to each other, as all of them are even. Also, no element of the subset {1, 3, 5, 7} can be related to any element of {2, 4, 6}, as elements of {1, 3, 5, 7} are odd, while elements of {2, 4, 6} are even.
EXERCISE 1.1
1. Determine whether each of the following relations are reflexive, symmetric and transitive:
(i) Relation R in the set A = {1, 2, 3, ..., 13, 14} defined as
R = {(x, y) : 3x – y = 0}
(ii) Relation R in the set N of natural numbers defined as
R = {(x, y) : y = x + 5 and x < 4}
(iii) Relation R in the set A = {1, 2, 3, 4, 5, 6} as
R = {(x, y) : y is divisible by x}
(iv) Relation R in the set Z of all integers defined as
R = {(x, y) : x – y is an integer}
(v) Relation R in the set A of human beings in a town at a particular time given by
(a) R = {(x, y) : x and y work at the same place}
(b) R = {(x, y) : x and y live in the same locality}
(c) R = {(x, y) : x is exactly 7 cm taller than y}
(d) R = {(x, y) : x is wife of y}
(e) R = {(x, y) : x is father of y}
2. Show that the relation R in the set R of real numbers, defined as
R = {(a, b) : a ≤ b2} is neither reflexive nor symmetric nor transitive.
3. Check whether the relation R defined in the set {1, 2, 3, 4, 5, 6} as
R = {(a, b) : b = a + 1} is reflexive, symmetric or transitive.
4. Show that the relation R in R defined as R = {(a, b) : a ≤ b}, is reflexive and transitive but not symmetric.
5. Check whether the relation R in R defined by R = {(a, b) : a ≤ b3} is reflexive, symmetric or transitive.
6. Show that the relation R in the set {1, 2, 3} given by R = {(1, 2), (2, 1)} is symmetric but neither reflexive nor transitive.
7. Show that the relation R in the set A of all the books in a library of a college, given by R = {(x, y) : x and y have same number of pages} is an equivalence relation.
8. Show that the relation R in the set A = {1, 2, 3, 4, 5} given by
R = {(a, b) : |a – b| is even}, is an equivalence relation. Show that all the elements of {1, 3, 5} are related to each other and all the elements of {2, 4} are related to each other. But no element of {1, 3, 5} is related to any element of {2, 4}.
9. Show that each of the relation R in the set A = {x ∈ Z : 0 ≤ x ≤ 12}, given by
(i) R = {(a, b) : |a – b| is a multiple of 4}
(ii) R = {(a, b) : a = b}
is an equivalence relation. Find the set of all elements related to 1 in each case.
10. Give an example of a relation. Which is
(i) Symmetric but neither reflexive nor transitive.
(ii) Transitive but neither reflexive nor symmetric.
(iii) Reflexive and symmetric but not transitive.
(iv) Reflexive and transitive but not symmetric.
(v) Symmetric and transitive but not reflexive.
11. Show that the relation R in the set A of points in a plane given by R = {(P, Q) : distance of the point P from the origin is same as the distance of the point Q from the origin}, is an equivalence relation. Further, show that the set of all points related to a point P ≠ (0, 0) is the circle passing through P with origin as centre.
12. Show that the relation R defined in the set A of all triangles as R = {(T1, T2) : T1 is similar to T2}, is equivalence relation. Consider three right angle triangles T1 with sides 3, 4, 5, T2 with sides 5, 12, 13 and T3 with sides 6, 8, 10. Which triangles among T1, T2 and T3 are related?
13. Show that the relation R defined in the set A of all polygons as R = {(P1, P2) :
P1 and P2 have same number of sides}, is an equivalence relation. What is the set of all elements in A related to the right angle triangle T with sides 3, 4 and 5?
14. Let L be the set of all lines in XY plane and R be the relation in L defined as R = {(L1, L2) : L1 is parallel to L2}. Show that R is an equivalence relation. Find the set of all lines related to the line y = 2x + 4.
15. Let R be the relation in the set {1, 2, 3, 4} given by R = {(1, 2), (2, 2), (1, 1), (4,4), (1, 3), (3, 3), (3, 2)}. Choose the correct answer.
(A) R is reflexive and symmetric but not transitive.
(B) R is reflexive and transitive but not symmetric.
(C) R is symmetric and transitive but not reflexive.
(D) R is an equivalence relation.
16. Let R be the relation in the set N given by R = {(a, b) : a = b – 2, b > 6}. Choose the correct answer.
(A) (2, 4) ∈ R (B) (3, 8) ∈ R (C) (6, 8) ∈ R (D) (8, 7) ∈ R
1.3 Types of Functions
The notion of a function along with some special functions like identity function, constant function, polynomial function, rational function, modulus function, signum function etc. along with their graphs have been given in Class XI.
Addition, subtraction, multiplication and division of two functions have also been studied. As the concept of function is of paramount importance in mathematics and among other disciplines as well, we would like to extend our study about function from where we finished earlier. In this section, we would like to study different types of functions.
Consider the functions f1, f2, f3 and f4 given by the following diagrams.
In Fig 1.2, we observe that the images of distinct elements of X1 under the function f1 are distinct, but the image of two distinct elements 1 and 2 of X1 under f2 is same, namely b. Further, there are some elements like e and f in X2 which are not images of any element of X1 under f1, while all elements of X3 are images of some elements of X1 under f3. The above observations lead to the following definitions:
Definition 5 A function f : X → Y is defined to be one-one (or injective), if the images of distinct elements of X under f are distinct, i.e., for every x1, x2 ∈ X, f(x1) = f(x2) implies x1 = x2. Otherwise, f is called many-one.
The function f1 and f4 in Fig 1.2 (i) and (iv) are one-one and the function f2 and f3 in Fig 1.2 (ii) and (iii) are many-one.
Definition 6 A function f : X → Y is said to be onto (or surjective), if every element of Y is the image of some element of X under f, i.e., for every y ∈ Y, there exists an element x in X such that f(x) = y.
The function f3 and f4 in Fig 1.2 (iii), (iv) are onto and the function f1 in Fig 1.2 (i) is not onto as elements e, f in X2 are not the image of any element in X1 under f1.
Fig 1.2 (i) to (iv)
Remark f : X → Y is onto if and only if Range of f = Y.
Definition 7 A function f : X → Y is said to be one-one and onto (or bijective), if f is both one-one and onto.
The function f4 in Fig 1.2 (iv) is one-one and onto.
Example 7 Let A be the set of all 50 students of Class X in a school. Let f : A → N be function defined by f(x) = roll number of the student x. Show that f is one-one
but not onto.
Solution No two different students of the class can have same roll number. Therefore, f must be one-one. We can assume without any loss of generality that roll numbers of students are from 1 to 50. This implies that 51 in N is not roll number of any student of the class, so that 51 can not be image of any element of X under f. Hence, f is not onto.
Example 8 Show that the function f : N → N, given by f(x) = 2x, is one-one but not onto.
Solution The function f is one-one, for f(x1) = f(x2) ⇒ 2x1 = 2x2 ⇒ x1 = x2. Further, f is not onto, as for 1 ∈ N, there does not exist any x in N such that f(x) = 2x = 1.
Example 9 Prove that the function f : R → R, given by f(x) = 2x, is one-one and onto.
Solution f is one-one, as f(x1) = f(x2) ⇒ 2x1 = 2x2 ⇒ x1 = x2. Also, given any real number y in R, there exists
in R such that f(
) = 2 . (
) = y. Hence, f is onto.
Fig 1.3
Example 10 Show that the function f : N → N, given by f(1) = f(2) = 1 and f(x) = x – 1, for every x > 2, is onto but not one-one.
Solution f is not one-one, as f(1) = f(2) = 1. But f is onto, as given any y ∈ N, y ≠ 1, we can choose x as y + 1 such that f(y + 1) = y + 1 – 1 = y. Also for 1 ∈ N, we have f(1) = 1.
Example 11 Show that the function f : R → R, defined as f(x) = x2, is neither one-one nor onto.
Solution Since f(– 1) = 1 = f(1), f is not one-one. Also, the element – 2 in the co-domain R is not image of any element x in the domain R (Why?). Therefore f is not onto.
Fig 1.4
Example 12 Show that f : N → N, given by

is both one-one and onto.
Solution Suppose f(x1) = f(x2). Note that if x1 is odd and x2 is even, then we will have x1 + 1 = x2 – 1, i.e., x2 – x1 = 2 which is impossible. Similarly, the possibility of x1 being even and x2 being odd can also be ruled out, using the similar argument. Therefore,
both x1 and x2 must be either odd or even. Suppose both x1 and x2 are odd. Then
f(x1) = f(x2) ⇒ x1 + 1 = x2 + 1 ⇒ x1 = x2. Similarly, if both x1 and x2 are even, then also f(x1) = f(x2) ⇒ x1 – 1 = x2 – 1 ⇒ x1 = x2. Thus, f is one-one. Also, any odd number 2r + 1 in the co-domain N is the image of 2r + 2 in the domain N and any even number 2r in the co-domain N is the image of 2r – 1 in the domain N. Thus, f is onto.
Example 13 Show that an onto function f : {1, 2, 3} → {1, 2, 3} is always one-one.
Solution Suppose f is not one-one. Then there exists two elements, say 1 and 2 in the domain whose image in the co-domain is same. Also, the image of 3 under f can be only one element. Therefore, the range set can have at the most two elements of the co-domain {1, 2, 3}, showing that f is not onto, a contradiction. Hence, f must be one-one.
Example 14 Show that a one-one function f : {1, 2, 3} → {1, 2, 3} must be onto.
Solution Since f is one-one, three elements of {1, 2, 3} must be taken to 3 different elements of the co-domain {1, 2, 3} under f. Hence, f has to be onto.
Remark The results mentioned in Examples 13 and 14 are also true for an arbitrary finite set X, i.e., a one-one function f : X → X is necessarily onto and an onto map f : X → X is necessarily one-one, for every finite set X. In contrast to this, Examples 8 and 10 show that for an infinite set, this may not be true. In fact, this is a characteristic difference between a finite and an infinite set.
Exercise 1.2
1. Show that the function f : Ra → Ra defined by f(x) =
is one-one and onto, where Ra is the set of all non-zero real numbers. Is the result true, if the domain Ra is replaced by N with co-domain being same as Ra?
2. Check the injectivity and surjectivity of the following functions:
(i) f : N → N given by f(x) = x2
(ii) f : Z → Z given by f(x) = x2
(iii) f : R → R given by f(x) = x2
(iv) f : N → N given by f(x) = x3
(v) f : Z → Z given by f(x) = x3
3. Prove that the Greatest Integer Function f : R → R, given by f(x) = [x], is neither one-one nor onto, where [x] denotes the greatest integer less than or equal to x.
4. Show that the Modulus Function f : R → R, given by f(x) = |x|, is neither one-one nor onto, where | x | is x, if x is positive or 0 and |x| is – x, if x is negative.
5. Show that the Signum Function f : R → R, given by

is neither one-one nor onto.
6. Let A = {1, 2, 3}, B = {4, 5, 6, 7} and let f = {(1, 4), (2, 5), (3, 6)} be a function from A to B. Show that f is one-one.
7. In each of the following cases, state whether the function is one-one, onto or bijective. Justify your answer.
(i) f : R → R defined by f(x) = 3 – 4x
(ii) f : R → R defined by f(x) = 1 + x2
8. Let A and B be sets. Show that f : A × B → B × A such that f(a, b) = (b, a) is bijective function.
9. Let f : N → N be defined by f(n) =
for all n ∈ N.
State whether the function f is bijective. Justify your answer.
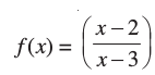
10. Let A = R – {3} and B = R – {1}. Consider the function f : A → B defined by
. Is f one-one and onto? Justify your answer.
11. Let f : R → R be defined as f(x) = x4. Choose the correct answer.
(A) f is one-one onto (B) f is many-one onto
(C) f is one-one but not onto (D) f is neither one-one nor onto.
12. Let f : R → R be defined as f(x) = 3x. Choose the correct answer.
(A) f is one-one onto (B) f is many-one onto
(C) f is one-one but not onto (D) f is neither one-one nor onto.
1.4 Composition of Functions and Invertible Function
In this section, we will study composition of functions and the inverse of a bijective function. Consider the set A of all students, who appeared in Class X of a Board Examination in 2006. Each student appearing in the Board Examination is assigned a roll number by the Board which is written by the students in the answer script at the time of examination. In order to have confidentiality, the Board arranges to deface the roll numbers of students in the answer scripts and assigns a fake code number to each roll number. Let B ⊂ N be the set of all roll numbers and C ⊂ N be the set of all code numbers. This gives rise to two functions f : A → B and g : B → C given by f(a) = the roll number assigned to the student a and g(b) = the code number assigned to the roll number b. In this process each student is assigned a roll number through the function f and each roll number is assigned a code number through the function g. Thus, by the combination of these two functions, each student is eventually attached a code number.
This leads to the following definition:
Definition 8 Let f : A → B and g : B → C be two functions. Then the composition of f and g, denoted by gof, is defined as the function gof : A → C given by
gof(x) = g(f(x)),∀ x ∈ A.
Fig 1.5
Example 15 Let f : {2, 3, 4, 5} → {3, 4, 5, 9} and g : {3, 4, 5, 9} → {7, 11, 15} be functions defined as f(2) = 3, f(3) = 4, f(4) = f(5) = 5 and g(3) = g(4) = 7 and
g(5) = g(9) = 11. Find gof.
Solution We have gof(2) = g(f(2)) = g(3) = 7, gof(3) = g(f(3)) = g(4) = 7, gof(4) = g(f(4)) = g(5) = 11 and gof(5) = g(5) = 11.
Example 16 Find gof and fog, if f : R → R and g : R → R are given by f(x) = cos x and g(x) = 3x2. Show that gof ≠ fog.
Solution We have gof(x) = g(f(x)) = g(cos x) = 3 (cos x)2 = 3 cos2 x. Similarly, fog(x) = f(g(x)) = f(3x2) = cos (3x2). Note that 3cos2 x ≠ cos 3x2, for x = 0. Hence, gof ≠ fog.
Example 17 Show that if
is defined by
and
is defined by
, then fog = IA and gof = IB, where, A = R –
, B = R –
; IA (x) = x,
x ∈ A, IB (x) = x, x ∈ B are called identity functions on sets A and B, respectively.
Solution We have
=
Similarly,
Thus, gof(x) = x,
x ∈ B and fog(x) = x,
x ∈ A, which implies that gof = IB and fog = IA.
Example 18 Show that if f : A → B and g : B → C are one-one, then gof : A → C is also one-one.
Solution Suppose gof(x1) = gof(x2)
⇒ g(f(x1)) = g(f(x2))
⇒ f(x1) = f(x2), as g is one-one
⇒ x1 = x2, as f is one-one
Hence, gof is one-one.
Example 19 Show that if f : A → B and g : B → C are onto, then gof : A → C is also onto.
Solution Given an arbitrary element z ∈ C, there exists a pre-image y of z under g such that g(y) = z, since g is onto. Further, for y ∈ B, there exists an element x in A with f(x) = y, since f is onto. Therefore, gof(x) = g(f(x)) = g(y) = z, showing that gof is onto.
Example 20 Consider functions f and g such that composite gof is defined and is one-one. Are f and g both necessarily one-one.
Solution Consider f : {1, 2, 3, 4} → {1, 2, 3, 4, 5, 6} defined as f(x) = x,
x and
g : {1, 2, 3, 4, 5, 6} → {1, 2, 3, 4, 5, 6} as g(x) = x, for x = 1, 2, 3, 4 and g(5) = g(6) = 5. Then, gof(x) = x
x, which shows that gof is one-one. But g is clearly not one-one.
Example 21 Are f and g both necessarily onto, if gof is onto?
Solution Consider f : {1, 2, 3, 4} → {1, 2, 3, 4} and g : {1, 2, 3, 4} → {1, 2, 3} defined as f(1) = 1, f(2) = 2, f(3) = f(4) = 3, g(1) = 1, g(2) = 2 and g(3) = g(4) = 3. It can be seen that gof is onto but f is not onto.
Remark It can be verified in general that gof is one-one implies that f is one-one. Similarly, gof is onto implies that g is onto.
Now, we would like to have close look at the functions f and g described in the beginning of this section in reference to a Board examination. Each student appearing in Class X examination of the Board is assigned a roll number under the function f and each roll number is assigned a code number under g. After the answer scripts are examined, examiner enters the mark against each code number in a mark book and submits to the office of the Board. The Board officials decode by assigning roll number back to each code number through a process reverse to g and thus mark gets attached to roll number rather than code number. Further, the process reverse to f assigns a roll number to the student having that roll number. This helps in assigning mark to the student scoring that mark. We observe that while composing f and g, to get gof, first f and then g was applied, while in the reverse process of the composite gof, first the reverse process of g is applied and then the reverse process of f.
Example 22 Let f : {1, 2, 3} → {a, b, c} be one-one and onto function given by
f(1) = a, f(2) = b and f(3) = c. Show that there exists a function g : {a, b, c} → {1, 2, 3} such that gof = IX and fog = IY, where, X = {1, 2, 3} and Y = {a, b, c}.
Solution Consider g : {a, b, c} → {1, 2, 3} as g(a) = 1, g(b) = 2 and g(c) = 3. It is easy to verify that the composite gof = IX is the identity function on X and the composite fog = IY is the identity function on Y.
Remark The interesting fact is that the result mentioned in the above example is true for an arbitrary one-one and onto function f : X → Y. Not only this, even the converse is also true , i.e., if f : X → Y is a function such that there exists a function g : Y → X such that gof = IX and fog = IY, then f must be one-one and onto.
The above discussion, Example 22 and Remark lead to the following definition:
Definition 9 A function f : X → Y is defined to be invertible, if there exists a function g : Y → X such that gof = IX and fog = IY. The function g is called the inverse of f and is denoted by f–1.
Thus, if f is invertible, then f must be one-one and onto and conversely, if f is one-one and onto, then f must be invertible. This fact significantly helps for proving a function f to be invertible by showing that f is one-one and onto, specially when the actual inverse of f is not to be determined.
Example 23 Let f : N → Y be a function defined as f(x) = 4x + 3, where, Y = {y ∈ N: y = 4x + 3 for some x ∈ N}. Show that f is invertible. Find the inverse.
Solution Consider an arbitrary element y of Y. By the definition of Y, y = 4x + 3,
for some x in the domain N. This shows that
. Define g : Y → N by
. Now, gof(x) = g(f(x)) = g(4x + 3) =
and fog(y) = f(g(y)) =
= y – 3 + 3 = y. This shows that gof = IN and fog = IY, which implies that f is invertible and g is the inverse of f.
Example 24 Let Y = {n2 : n ∈ N} ⊂ N. Consider f : N → Y as f(n) = n2. Show that f is invertible. Find the inverse of f.
Solution An arbitrary element y in Y is of the form n2, for some n ∈ N. This implies that n =
. This gives a function g : Y → N, defined by g(y) =
. Now, gof(n) = g(n2) = n and fog(y)=
, which shows that gof = IN and fog = IY. Hence, f is invertible with f –1 = g.
Example 25 Let f ' : N → R be a function defined as f '(x) = 4x2 + 12x + 15. Show that f : N→ S, where, S is the range of f, is invertible. Find the inverse of f.
Solution Let y be an arbitrary element of range f. Then y = 4x2 + 12x + 15, for some x in N, which implies that y = (2x + 3)2 + 6. This gives
, as y ≥ 6.
Let us define g : S → N by g(y) =
.
Now gof(x) = g(f(x)) = g(4x2 + 12x + 15) = g((2x + 3)2 + 6)
=
and fog (y) =
=
=
= y – 6 + 6 = y.
Hence, gof = IN and fog =IS. This implies that f is invertible with f –1 = g.
Example 26 Consider f : N → N, g : N → N and h : N → R defined as f(x) = 2x, g(y) = 3y + 4 and h(z) = sin z,
x, y and z in N. Show that ho(gof) = (hog) of.
Solution We have ho(gof) (x) = h(gof (x)) = h(g(f(x))) = h(g(2x))
= h(3(2x) + 4) = h(6x + 4) = sin (6x + 4) 
Also, ((hog)of ) (x) = (hog) (f(x)) = (hog) (2x) = h(g(2x))
= h(3(2x) + 4) = h(6x + 4) = sin (6x + 4),
x ∈ N.
This shows that ho(gof) = (hog)of.
This result is true in general situation as well.
Theorem 1 If f : X → Y, g : Y → Z and h : Z → S are functions, then
ho(gof) = (hog)of.
Proof We have
ho(gof) (x) = h(gof(x)) = h(g(f(x))),
x in X
and (hog) of (x) = hog(f (x)) = h(g(f(x))),
x in X.
Hence, ho(gof) = (hog)of.
Example 27 Consider f : {1, 2, 3} → {a, b, c} and g : {a, b, c} → {apple, ball, cat} defined as f(1) = a, f(2) = b, f(3) = c, g(a) = apple, g(b) = ball and g(c) = cat.
Show that f, g and gof are invertible. Find out f –1, g–1 and (gof)–1 and show that (gof) –1 = f –1og–1.
Solution Note that by definition, f and g are bijective functions.
Let f –1: {a, b, c} → (1, 2, 3} and g–1 : {apple, ball, cat} → {a, b, c} be defined as
f –1{a} = 1, f –1{b} = 2, f –1{c} = 3, g–1{apple} = a, g–1{ball} = b and g–1{cat} = c. It is easy to verify that f –1of = I{1, 2, 3}, fo f –1 = I{a, b, c}, g–1og = I{a, b, c} and go g–1 = ID, where, D = {apple, ball, cat}. Now, gof : {1, 2, 3} → {apple, ball, cat} is given by gof(1) = apple, gof(2) = ball, gof(3) = cat. We can define
(gof)–1 : {apple, ball, cat} → {1, 2, 3} by (gof)–1 (apple) = 1, (gof)–1 (ball) = 2 and
(gof)–1 (cat) = 3. It is easy to see that (gof)–1 o (gof) = I{1, 2, 3} and
(gof) o (gof)–1 = ID. Thus, we have seen that f, g and gof are invertible.
Now, f–1og–1 (apple) = f –1(g–1(apple)) = f –1(a) = 1 = (gof)–1 (apple)
f–1og–1 (ball) = f –1(g–1(ball)) = f –1(b) = 2 = (gof)–1 (ball) and
f–1og–1 (cat) = f –1(g–1(cat)) = f –1(c) = 3 = (gof)–1 (cat).
Hence (gof)–1 = f –1og–1.
The above result is true in general situation also.
Theorem 2 Let f : X → Y and g : Y → Z be two invertible functions. Then gof is also invertible with (gof)–1 = f–1og–1.
Proof To show that gof is invertible with (gof)–1 = f–1og–1, it is enough to show that
(f–1og–1)o(gof) = IX and (gof)o(f–1og–1) = IZ.
Now, (f–1og–1)o(gof) = ((f–1og–1) og) of, by Theorem 1
= (f–1o(g–1og)) of, by Theorem 1
= (f–1 oIY) of, by definition of g–1
= IX.
Similarly, it can be shown that (gof)o(f –1 og –1) = IZ.
Example 28 Let S = {1, 2, 3}. Determine whether the functions f : S → S defined as below have inverses. Find f–1, if it exists.
(a) f = {(1, 1), (2, 2), (3, 3)}
(b) f = {(1, 2), (2, 1), (3, 1)}
(c) f = {(1, 3), (3, 2), (2, 1)}
Solution
(a) It is easy to see that f is one-one and onto, so that f is invertible with the inverse
f–1 of f given by f–1 = {(1, 1), (2, 2), (3, 3)} = f.
(b) Since f(2) = f(3) = 1, f is not one-one, so that f is not invertible.
(c) It is easy to see that f is one-one and onto, so that f is invertible with f–1 = {(3, 1), (2, 3), (1, 2)}.
Exercise 1.3
1. Let f : {1, 3, 4} → {1, 2, 5} and g : {1, 2, 5} → {1, 3} be given by
f = {(1, 2), (3, 5), (4, 1)} and g = {(1, 3), (2, 3), (5, 1)}. Write down gof.
2. Let f, g and h be functions from R to R. Show that
(f + g)oh = foh + goh
(f . g)oh = (foh) . (goh)
3. Find gof and fog, if
(i) f(x) = | x | and g(x) = | 5x – 2 |
(ii) f(x) = 8x3 and g(x) =
.
4. If f(x) = 
, , show that fof(x) = x, for all
. What is the inverse of f?
5. State with reason whether following functions have inverse
(i) f : {1, 2, 3, 4} → {10} with
f = {(1, 10), (2, 10), (3, 10), (4, 10)}
(ii) g : {5, 6, 7, 8} → {1, 2, 3, 4} with
g = {(5, 4), (6, 3), (7, 4), (8, 2)}
(iii) h : {2, 3, 4, 5} → {7, 9, 11, 13} with
h = {(2, 7), (3, 9), (4, 11), (5, 13)}
6. Show that f : [–1, 1] → R, given by f(x) =
is one-one. Find the inverse of the function f : [–1, 1] → Range f.
(Hint: For y ∈ Range f, y = f(x) =
, for some x in [–1, 1], i.e., x =
7. Consider f : R → R given by f(x) = 4x + 3. Show that f is invertible. Find the inverse of f.
8. Consider f : R+ → [4, ∞) given by f(x) = x2 + 4. Show that f is invertible with the inverse f–1 of f given by f–1(y) =
, where R+ is the set of all non-negative real numbers.
9. Consider f : R+ → [– 5, ∞) given by f(x) = 9x2 + 6x – 5. Show that f is invertible with f–1(y) =
.
10. Let f : X → Y be an invertible function. Show that f has unique inverse.
(Hint: suppose g1 and g2 are two inverses of f. Then for all y ∈ Y,
fog1(y) = 1Y(y) = fog2(y). Use one-one ness of f).
11. Consider f : {1, 2, 3} → {a, b, c} given by f(1) = a, f(2) = b and f(3) = c. Find f–1 and show that (f–1)–1 = f.
12. Let f: X → Y be an invertible function. Show that the inverse of f –1 is f, i.e., (f–1)–1 = f.
13. If f: R → R be given by f(x)
, then fof(x) is
(A)=
(B) x3 (C) x (D) (3 – x3).
14. Let f : R –
→ R be a function defined as f(x) =
. The inverse of f is the map g : Range f → R –
given by
(A)
(B)
(C)
(D)
1.5 Binary Operations
Right from the school days, you must have come across four fundamental operations namely addition, subtraction, multiplication and division. The main feature of these operations is that given any two numbers a and b, we associate another number a + b or a – b or ab or
, b ≠ 0. It is to be noted that only two numbers can be added or multiplied at a time. When we need to add three numbers, we first add two numbers and the result is then added to the third number. Thus, addition, multiplication, subtraction and division are examples of binary operation, as ‘binary’ means two. If we want to have a general definition which can cover all these four operations, then the set of numbers is to be replaced by an arbitrary set X and then general binary operation is nothing but association of any pair of elements a, b from X to another element of X. This gives rise to a general definition as follows:
Definition 10 A binary operation ∗ on a set A is a function ∗ : A × A → A. We denote ∗ (a, b) by a ∗ b.
Example 29 Show that addition, subtraction and multiplication are binary operations on R, but division is not a binary operation on R. Further, show that division is a binary operation on the set R∗ of nonzero real numbers.
Solution + : R × R → R is given by
(a, b) → a + b
– : R × R → R is given by
(a, b) → a – b
× : R × R → R is given by
(a, b) → ab
Since ‘+’, ‘–’ and ‘×’ are functions, they are binary operations on R.
But ÷ : R × R → R, given by (a, b) →
, is not a function and hence not a binary operation, as for b = 0,
is not defined.
However, ÷ : R∗ × R∗ → R∗, given by (a, b) →
is a function and hence a binary operation on R∗.
Example 30 Show that subtraction and division are not binary operations on N.
Solution – : N × N → N, given by (a, b) → a – b, is not binary operation, as the image of (3, 5) under ‘–’ is 3 – 5 = – 2 ∉ N. Similarly, ÷ : N × N → N, given by (a, b) → a ÷ b is not a binary operation, as the image of (3, 5) under ÷ is 3 ÷ 5 =
∉ N.
Example 31 Show that
: R × R → R given by (a, b) → a + 4b2 is a binary operation.
Solution Since
carries each pair (a, b) to a unique element a + 4b2 in R, ∗ is a binary operation on R.
Example 32 Let P be the set of all subsets of a given set X. Show that ∪ : P × P → P given by (A, B) → A ∪ B and ∩ : P × P → P given by (A, B) → A ∩ B are binary operations on the set P.
Solution Since union operation ∪ carries each pair (A, B) in P × P to a unique element A ∪ B in P, ∪ is binary operation on P. Similarly, the intersection operation ∩ carries each pair (A, B) in P × P to a unique element A ∩ B in P, ∩ is a binary operation on P.
Example 33 Show that the
: R × R → R given by (a, b) → max {a, b} and the
: R × R → R given by (a, b) → min {a, b} are binary operations.
Solution Since
carries each pair (a, b) in R × R to a unique element namely maximum of a and b lying in R,
is a binary operation. Using the similar argument, one can say that
is also a binary operation.
Remark
(4, 7) = 7,
(4, – 7) = 4,
(4, 7) = 4 and
(4, – 7) = – 7.
When number of elements in a set A is small, we can express a binary operation ∗ on the set A through a table called the operation table for the operation ∗. For example consider A = {1, 2, 3}. Then, the operation
on A defined in Example 33 can be expressed by the following operation table (Table 1.1) . Here,
(1, 3) = 3,
(2, 3) = 3,
(1, 2) = 2.
Table 1.1
Here, we are having 3 rows and 3 columns in the operation table with (i, j) the entry of the table being maximum of ith and jth elements of the set A. This can be generalised for general operation ∗ : A × A → A. If A = {a1, a2, ..., an}. Then the operation table will be having n rows and n columns with (i, j)th entry being ai ∗ aj. Conversely, given any operation table having n rows and n columns with each entry being an element of A = {a1, a2, ..., an}, we can define a binary operation ∗ : A × A → A given by ai ∗ aj = the entry in the ith row and jth column of the operation table.
One may note that 3 and 4 can be added in any order and the result is same, i.e.,
3 + 4 = 4 + 3, but subtraction of 3 and 4 in different order give different results, i.e.,
3 – 4 ≠ 4 – 3. Similarly, in case of multiplication of 3 and 4, order is immaterial, but division of 3 and 4 in different order give different results. Thus, addition and multiplication of 3 and 4 are meaningful, but subtraction and division of 3 and 4 are meaningless. For subtraction and division we have to write ‘subtract 3 from 4’, ‘subtract 4 from 3’, ‘divide 3 by 4’ or ‘divide 4 by 3’.
This leads to the following definition:
Definition 11 A binary operation ∗ on the set X is called commutative, if a ∗ b = b ∗ a, for every a, b ∈ X.
Example 34 Show that + : R × R → R and × : R × R → R are commutative binary operations, but – : R × R → R and ÷ : R∗ × R∗ → R∗ are not commutative.
Solution Since a + b = b + a and a × b = b × a,
a, b ∈ R, ‘+’ and ‘×’ are commutative binary operation. However, ‘–’ is not commutative, since 3 – 4 ≠ 4 – 3.
Similarly, 3 ÷ 4 ≠ 4 ÷ 3 shows that ‘÷’ is not commutative.
Example 35 Show that ∗ : R × R → R defined by a ∗ b = a + 2b is not commutative.
Solution Since 3 ∗ 4 = 3 + 8 = 11 and 4 ∗ 3 = 4 + 6 = 10, showing that the operation ∗ is not commutative.
If we want to associate three elements of a set X through a binary operation on X, we encounter a natural problem. The expression a ∗ b ∗ c may be interpreted as
(a ∗ b) ∗ c or a ∗ (b ∗ c) and these two expressions need not be same. For example, (8 – 5) – 2 ≠ 8 – (5 – 2). Therefore, association of three numbers 8, 5 and 3 through the binary operation ‘subtraction’ is meaningless, unless bracket is used. But in case of addition, 8 + 5 + 2 has the same value whether we look at it as ( 8 + 5) + 2 or as 8 + (5 + 2). Thus, association of 3 or even more than 3 numbers through addition is meaningful without using bracket. This leads to the following:
Definition 12 A binary operation ∗ : A × A → A is said to be associative if (a ∗ b) ∗ c = a ∗ (b ∗ c),
a, b, c, ∈ A.
Example 36 Show that addition and multiplication are associative binary operation on R. But subtraction is not associative on R. Division is not associative on R∗.
Solution Addition and multiplication are associative, since (a + b) + c = a + (b + c) and (a × b) × c = a × (b × c)
a, b, c ∈ R. However, subtraction and division are not associative, as (8 – 5) – 3 ≠ 8 – (5 – 3) and (8 ÷ 5) ÷ 3 ≠ 8 ÷ (5 ÷ 3).
Example 37 Show that ∗ : R × R → R given by a ∗ b → a + 2b is not associative.
Solution The operation ∗ is not associative, since
(8 ∗ 5) ∗ 3 = (8 + 10) ∗ 3 = (8 + 10) + 6 = 24,
while 8 ∗ (5 ∗ 3) = 8 ∗ (5 + 6) = 8 ∗ 11 = 8 + 22 = 30.
Remark Associative property of a binary operation is very important in the sense that with this property of a binary operation, we can write a1 ∗ a2 ∗ ... ∗ an which is not ambiguous. But in absence of this property, the expression a1 ∗ a2 ∗ ... ∗ an is ambiguous unless brackets are used. Recall that in the earlier classes brackets were used whenever subtraction or division operations or more than one operation occurred.
For the binary operation ‘+’ on R, the interesting feature of the number zero is that a + 0 = a = 0 + a, i.e., any number remains unaltered by adding zero. But in case of multiplication, the number 1 plays this role, as a × 1 = a = 1 × a,
a in R. This leads to the following definition:
Definition 13 Given a binary operation ∗ : A × A → A, an element e ∈ A, if it exists, is called identity for the operation ∗, if a ∗ e = a = e ∗ a,
a ∈ A.
Example 38 Show that zero is the identity for addition on R and 1 is the identity for multiplication on R. But there is no identity element for the operations
– : R × R → R and ÷ : R∗ × R∗ → R∗.
Solution a + 0 = 0 + a = a and a × 1 = a = 1 × a,
a ∈ R implies that 0 and 1 are identity elements for the operations ‘+’ and ‘×’ respectively. Further, there is no element e in R with a – e = e – a,
a. Similarly, we can not find any element e in R∗ such that
a ÷ e = e ÷ a,
a in R∗. Hence, ‘–’ and ‘÷’ do not have identity element.
Remark Zero is identity for the addition operation on R but it is not identity for the addition operation on N, as 0 ∉ N. In fact the addition operation on N does not have any identity.
One further notices that for the addition operation + : R × R → R, given any a ∈ R, there exists – a in R such that a + (– a) = 0 (identity for ‘+’) = (– a) + a. Similarly, for the multiplication operation on R, given any a ≠ 0 in R, we can choose
in R such that a ×
= 1(identity for ‘×’) =
× a. This leads to the following definition:
Definition 14 Given a binary operation ∗ : A × A → A with the identity element e in A, an element a ∈ A is said to be invertible with respect to the operation ∗, if there exists an element b in A such that a ∗ b = e = b ∗ a and b is called the inverse of a and is denoted by a–1.
Example 39 Show that – a is the inverse of a for the addition operation ‘+’ on R and
is the inverse of a ≠ 0 for the multiplication operation ‘×’ on R.
Solution As a + (– a) = a – a = 0 and (– a) + a = 0, – a is the inverse of a for addition. Similarly, for a ≠ 0, a ×
= 1 =
× a implies that
is the inverse of a for multiplication.
Example 40 Show that – a is not the inverse of a ∈ N for the addition operation + on N and
is not the inverse of a ∈ N for multiplication operation × on N, for a ≠ 1.
Solution Since – a ∉ N, – a can not be inverse of a for addition operation on N, although – a satisfies a + (– a) = 0 = (– a) + a.
Similarly, for a ≠ 1 in N,
∉ N, which implies that other than 1 no element of N has inverse for multiplication operation on N.
Examples 34, 36, 38 and 39 show that addition on R is a commutative and associative binary operation with 0 as the identity element and – a as the inverse of a in R
a.
Exercise 1.4
1. Determine whether or not each of the definition of ∗ given below gives a binary operation. In the event that ∗ is not a binary operation, give justification for this.
(i) On Z+, define ∗ by a ∗ b = a – b
(ii) On Z+, define ∗ by a ∗ b = ab
(iii) On R, define ∗ by a ∗ b = ab2
(iv) On Z+, define ∗ by a ∗ b = |a – b|
(v) On Z+, define ∗ by a ∗ b = a
2. For each operation ∗ defined below, determine whether ∗ is binary, commutative or associative.
(i) On Z, define a ∗ b = a – b
(ii) On Q, define a ∗ b = ab + 1
(iii) On Q, define a ∗ b = ab/2
(iv) On Z+, define a ∗ b = 2ab
(v) On Z+, define a ∗ b = ab
(vi) On R – {– 1}, define a ∗ b =
3. Consider the binary operation
on the set {1, 2, 3, 4, 5} defined by
a
b = min {a, b}. Write the operation table of the operation
.
4. Consider a binary operation ∗ on the set {1, 2, 3, 4, 5} given by the following multiplication table (Table 1.2).
(i) Compute (2 ∗ 3) ∗ 4 and 2 ∗ (3 ∗ 4)
(ii) Is ∗ commutative?
(iii) Compute (2 ∗ 3) ∗ (4 ∗ 5).
(Hint: use the following table)
5. Let ∗′ be the binary operation on the set {1, 2, 3, 4, 5} defined by
a ∗′ b = H.C.F. of a and b. Is the operation ∗′ same as the operation ∗ defined in Exercise 4 above? Justify your answer.
6. Let ∗ be the binary operation on N given by a ∗ b = L.C.M. of a and b. Find
(i) 5 ∗ 7, 20 ∗ 16 (ii) Is ∗ commutative?
(iii) Is ∗ associative? (iv) Find the identity of ∗ in N
(v) Which elements of N are invertible for the operation ∗?
7. Is ∗ defined on the set {1, 2, 3, 4, 5} by a ∗ b = L.C.M. of a and b a binary operation? Justify your answer.
Table 1.2
8. Let ∗ be the binary operation on N defined by a ∗ b = H.C.F. of a and b.
Is ∗ commutative? Is ∗ associative? Does there exist identity for this binary operation on N?
9. Let ∗ be a binary operation on the set Q of rational numbers as follows:
(i) a ∗ b = a – b (ii) a ∗ b = a2 + b2
(iii) a ∗ b = a + ab (iv) a ∗ b = (a – b)2
(v) a ∗ b =
(vi) a ∗ b = ab2
Find which of the binary operations are commutative and which are associative.
10. Find which of the operations given above has identity.
11. Let A = N × N and ∗ be the binary operation on A defined by
(a, b) ∗ (c, d) = (a + c, b + d)
Show that ∗ is commutative and associative. Find the identity element for ∗ on A, if any.
12. State whether the following statements are true or false. Justify.
(i) For an arbitrary binary operation ∗ on a set N, a ∗ a = a
a ∈ N.
(ii) If ∗ is a commutative binary operation on N, then a ∗ (b ∗ c) = (c ∗ b) ∗ a
13. Consider a binary operation ∗ on N defined as a ∗ b = a3 + b3. Choose the correct answer.
(A) Is ∗ both associative and commutative?
(B) Is ∗ commutative but not associative?
(C) Is ∗ associative but not commutative?
(D) Is ∗ neither commutative nor associative?
Miscellaneous Examples
Example 41 If R1 and R2 are equivalence relations in a set A, show that R1 ∩ R2 is also an equivalence relation.
Solution Since R1 and R2 are equivalence relations, (a, a) ∈ R1, and (a, a) ∈ R2
a ∈ A. This implies that (a, a) ∈ R1 ∩ R2,
a, showing R1 ∩ R2 is reflexive. Further,
(a, b) ∈ R1 ∩ R2 ⇒ (a, b) ∈ R1 and (a, b) ∈ R2 ⇒ (b, a) ∈ R1 and (b, a) ∈ R2 ⇒
(b, a) ∈ R1 ∩ R2, hence, R1 ∩ R2 is symmetric. Similarly, (a, b) ∈ R1 ∩ R2 and
(b, c) ∈ R1 ∩ R2 ⇒ (a, c) ∈ R1 and (a, c) ∈ R2 ⇒ (a, c) ∈ R1 ∩ R2. This shows that
R1 ∩ R2 is transitive. Thus, R1 ∩ R2 is an equivalence relation.
Example 42 Let R be a relation on the set A of ordered pairs of positive integers defined by (x, y) R (u, v) if and only if xv = yu. Show that R is an equivalence relation.
Solution Clearly, (x, y) R (x, y),
(x, y) ∈ A, since xy = yx. This shows that R is reflexive. Further, (x, y) R (u, v) ⇒ xv = yu ⇒ uy = vx and hence (u, v) R (x, y). This shows that R is symmetric. Similarly, (x, y) R (u, v) and (u, v) R (a, b) ⇒ xv = yu and ub = va ⇒
⇒
⇒ xb = ya and hence (x, y) R (a, b). Thus, R is transitive. Thus, R is an equivalence relation.
Example 43 Let X = {1, 2, 3, 4, 5, 6, 7, 8, 9}. Let R1 be a relation in X given
by R1 = {(x, y) : x – y is divisible by 3} and R2 be another relation on X given by
R2 = {(x, y): {x, y} ⊂ {1, 4, 7}} or {x, y} ⊂ {2, 5, 8} or {x, y} ⊂ {3, 6, 9}}. Show that R1 = R2.
Solution Note that the characteristic of sets {1, 4, 7}, {2, 5, 8} and {3, 6, 9} is
that difference between any two elements of these sets is a multiple of 3. Therefore,
(x, y) ∈ R1 ⇒ x – y is a multiple of 3 ⇒ {x, y} ⊂ {1, 4, 7} or {x, y} ⊂ {2, 5, 8}
or {x, y} ⊂ {3, 6, 9} ⇒ (x, y) ∈ R2. Hence, R1 ⊂ R2. Similarly, {x, y} ∈ R2 ⇒ {x, y} ⊂ {1, 4, 7} or {x, y} ⊂ {2, 5, 8} or {x, y} ⊂ {3, 6, 9} ⇒ x – y is divisible by
3 ⇒ {x, y} ∈ R1. This shows that R2 ⊂ R1. Hence, R1 = R2.
Example 44 Let f : X → Y be a function. Define a relation R in X given by
R = {(a, b): f(a) = f(b)}. Examine whether R is an equivalence relation or not.
Solution For every a ∈ X, (a, a) ∈ R, since f(a) = f(a), showing that R is reflexive. Similarly, (a, b) ∈ R ⇒ f(a) = f(b) ⇒ f(b) = f(a) ⇒ (b, a) ∈ R. Therefore, R is symmetric. Further, (a, b) ∈ R and (b, c) ∈ R ⇒ f(a) = f(b) and f(b) = f(c) ⇒ f(a) = f(c) ⇒ (a, c) ∈ R, which implies that R is transitive. Hence, R is an equivalence relation.
Example 45 Determine which of the following binary operations on the set R are associative and which are commutative.
(a) a ∗ b = 1
a, b ∈ R (b) a ∗ b =
a, b ∈ R
Solution
(a) Clearly, by definition a ∗ b = b ∗ a = 1,
a, b ∈ R. Also
(a ∗ b) ∗ c = (1 ∗ c) =1 and a ∗ (b ∗ c) = a ∗ (1) = 1,
a, b, c ∈ R. Hence R is both associative and commutative.
(b) a ∗ b =
= b ∗ a, shows that ∗ is commutative. Further,
(a ∗ b) ∗ c =
∗ c.
=
.
But a ∗ (b ∗ c) =
=
in general.
Hence, ∗ is not associative.
Example 46 Find the number of all one-one functions from set A = {1, 2, 3} to itself.
Solution One-one function from {1, 2, 3} to itself is simply a permutation on three symbols 1, 2, 3. Therefore, total number of one-one maps from {1, 2, 3} to itself is same as total number of permutations on three symbols 1, 2, 3 which is 3! = 6.
Example 47 Let A = {1, 2, 3}. Then show that the number of relations containing (1, 2) and (2, 3) which are reflexive and transitive but not symmetric is three.
Solution The smallest relation R1 containing (1, 2) and (2, 3) which is reflexive and transitive but not symmetric is {(1, 1), (2, 2), (3, 3), (1, 2), (2, 3), (1, 3)}. Now, if we add the pair (2, 1) to R1 to get R2, then the relation R2 will be reflexive, transitive but not symmetric. Similarly, we can obtain R3 by adding (3, 2) to R1 to get the desired relation. However, we can not add two pairs (2, 1), (3, 2) or single pair (3, 1) to R1 at a time, as by doing so, we will be forced to add the remaining pair in order to maintain transitivity and in the process, the relation will become symmetric also which is not required. Thus, the total number of desired relations is three.
Example 48 Show that the number of equivalence relation in the set {1, 2, 3} containing (1, 2) and (2, 1) is two.
Solution The smallest equivalence relation R1 containing (1, 2) and (2, 1) is {(1, 1), (2, 2), (3, 3), (1, 2), (2, 1)}. Now we are left with only 4 pairs namely (2, 3), (3, 2), (1, 3) and (3, 1). If we add any one, say (2, 3) to R1, then for symmetry we must add (3, 2) also and now for transitivity we are forced to add (1, 3) and (3, 1). Thus, the only equivalence relation bigger than R1 is the universal relation. This shows that the total number of equivalence relations containing (1, 2) and (2, 1) is two.
Example 49 Show that the number of binary operations on {1, 2} having 1 as identity and having 2 as the inverse of 2 is exactly one.
Solution A binary operation ∗ on {1, 2} is a function from {1, 2} × {1, 2} to {1, 2}, i.e., a function from {(1, 1), (1, 2), (2, 1), (2, 2)} → {1, 2}. Since 1 is the identity for the desired binary operation ∗, ∗ (1, 1) = 1, ∗ (1, 2) = 2, ∗ (2, 1) = 2 and the only choice left is for the pair (2, 2). Since 2 is the inverse of 2, i.e., ∗ (2, 2) must be equal to 1. Thus, the number of desired binary operation is only one.
Example 50 Consider the identity function IN : N → N defined as IN (x) = x
x ∈ N. Show that although IN is onto but IN + IN : N → N defined as
(IN + IN) (x) = IN (x) + IN (x) = x + x = 2x is not onto.
Solution Clearly IN is onto. But IN + IN is not onto, as we can find an element 3 in the co-domain N such that there does not exist any x in the domain N with
(IN + IN) (x) = 2x = 3.
Example 51 Consider a function f :
given by f(x) = sin x and
g :
given by g(x) = cos x. Show that f and g are one-one, but f + g is not one-one.
Solution Since for any two distinct elements x1 and x2 in
, sin x1 ≠ sin x2 and cos x1 ≠ cos x2, both f and g must be one-one. But (f + g) (0) = sin 0 + cos 0 = 1 and (f + g)
=
. Therefore, f + g is not one-one.
Miscellaneous Exercise on Chapter 1
1. Let f : R → R be defined as f(x) = 10x + 7. Find the function g : R → R such that g o f = f o g = 1R.
2. Let f : W → W be defined as f(n) = n – 1, if n is odd and f(n) = n + 1, if n is even. Show that f is invertible. Find the inverse of f. Here, W is the set of all whole numbers.
3. If f : R → R is defined by f(x) = x2 – 3x + 2, find f (f(x)).
4. Show that the function f : R → {x ∈ R : – 1 < x < 1} defined by
, x ∈ R is one one and onto function.
5. Show that the function f : R → R given by f(x) = x3 is injective.
6. Give examples of two functions f : N → Z and g : Z → Z such that g o f is injective but g is not injective.
(Hint : Consider f(x) = x and g(x) = |x|).
7. Give examples of two functions f : N → N and g : N → N such that g o f is onto but f is not onto.
(Hint : Consider f(x) = x + 1 and 
8. Given a non empty set X, consider P(X) which is the set of all subsets of X. Define the relation R in P(X) as follows:
For subsets A, B in P(X), ARB if and only if A ⊂ B. Is R an equivalence relation on P(X)? Justify your answer.
9. Given a non-empty set X, consider the binary operation ∗ : P(X) × P(X) → P(X) given by A ∗ B = A ∩ B
A, B in P(X), where P(X) is the power set of X. Show that X is the identity element for this operation and X is the only invertible element in P(X) with respect to the operation ∗.
10. Find the number of all onto functions from the set {1, 2, 3, ... , n} to itself.
11. Let S = {a, b, c} and T = {1, 2, 3}. Find F–1 of the following functions F from S to T, if it exists.
(i) F = {(a, 3), (b, 2), (c, 1)} (ii) F = {(a, 2), (b, 1), (c, 1)}
12. Consider the binary operations ∗ : R × R → R and o : R × R → R defined as a ∗b = |a – b| and a o b = a,
a, b ∈ R. Show that ∗ is commutative but not associative, o is associative but not commutative. Further, show that
a, b, c ∈ R, a ∗ (b o c) = (a ∗ b) o (a ∗ c). [If it is so, we say that the operation ∗ distributes over the operation o]. Does o distribute over ∗? Justify your answer.
13. Given a non-empty set X, let ∗ : P(X) × P(X) → P(X) be defined as A * B = (A – B) ∪ (B – A),
A, B ∈ P(X). Show that the empty set φ is the identity for the operation ∗ and all the elements A of P(X) are invertible with
A–1 = A. (Hint : (A – φ) ∪ (φ – A) = A and (A – A) ∪ (A – A) = A ∗ A = φ).
14. Define a binary operation ∗ on the set {0, 1, 2, 3, 4, 5} as

Show that zero is the identity for this operation and each element a ≠ 0 of the set is invertible with 6 – a being the inverse of a.
15. Let A = {– 1, 0, 1, 2}, B = {– 4, – 2, 0, 2} and f, g : A → B be functions defined by f(x) = x2 – x, x ∈ A and
x ∈ A. Are f and g equal? Justify your answer. (Hint: One may note that two functions f : A → B and
g : A → B such that f(a) = g(a)
a ∈ A, are called equal functions).
16. Let A = {1, 2, 3}. Then number of relations containing (1, 2) and (1, 3) which are reflexive and symmetric but not transitive is
(A) 1 (B) 2 (C) 3 (D) 4
17. Let A = {1, 2, 3}. Then number of equivalence relations containing (1, 2) is
(A) 1 (B) 2 (C) 3 (D) 4
18. Let f : R → R be the Signum Function defined as

and g : R → R be the Greatest Integer Function given by g(x) = [x], where [x] is greatest integer less than or equal to x. Then, does fog and gof coincide in (0, 1]?
19. Number of binary operations on the set {a, b} are
(A) 10 (B) 16 (C) 20 (D ) 8
Summary
In this chapter, we studied different types of relations and equivalence relation, composition of functions, invertible functions and binary operations. The main features of this chapter are as follows:
® Empty relation is the relation R in X given by R = φ ⊂ X × X.
® Universal relation is the relation R in X given by R = X × X.
® Reflexive relation R in X is a relation with (a, a) ∈ R
a ∈ X.
® Symmetric relation R in X is a relation satisfying (a, b) ∈ R implies (b, a) ∈ R.
® Transitive relation R in X is a relation satisfying (a, b) ∈ R and (b, c) ∈ R implies that (a, c) ∈ R.
® Equivalence relation R in X is a relation which is reflexive, symmetric and transitive.
® Equivalence class [a] containing a ∈ X for an equivalence relation R in X is the subset of X containing all elements b related to a.
® A function f : X → Y is one-one (or injective) if
f(x1) = f(x2) ⇒ x1 = x2
x1, x2 ∈ X.
® A function f : X → Y is onto (or surjective) if given any y ∈ Y, ∃ x ∈ X such that f(x) = y.
® A function f : X → Y is one-one and onto (or bijective), if f is both one-one and onto.
® The composition of functions f : A → B and g : B → C is the function gof : A → C given by gof(x) = g(f(x))
x ∈ A.
® A function f : X → Y is invertible if ∃ g : Y → X such that gof = IX and fog = IY.
® A function f : X → Y is invertible if and only if f is one-one and onto.
® Given a finite set X, a function f : X → X is one-one (respectively onto) if and only if f is onto (respectively one-one). This is the characteristic property of a finite set. This is not true for infinite set
® A binary operation ∗ on a set A is a function ∗ from A × A to A.
® An element e ∈ X is the identity element for binary operation ∗ : X × X → X, if a ∗ e = a = e ∗ a
a ∈ X.
® An element a ∈ X is invertible for binary operation ∗ : X × X → X, if
there exists b ∈ X such that a ∗ b = e = b ∗ a where, e is the identity for the binary operation ∗. The element b is called inverse of a and is denoted by a–1.
® An operation ∗ on X is commutative if a ∗ b = b ∗ a
a, b in X.
® An operation ∗ on X is associative if (a ∗ b) ∗ c = a ∗ (b ∗ c)a, b, c in X.
Historical Note
The concept of function has evolved over a long period of time starting from R. Descartes (1596-1650), who used the word ‘function’ in his manuscript “Geometrie” in 1637 to mean some positive integral power xn of a variable x while studying geometrical curves like hyperbola, parabola and ellipse. James Gregory (1636-1675) in his work “ Vera Circuli et Hyperbolae Quadratura” (1667) considered function as a quantity obtained from other quantities by successive use of algebraic operations or by any other operations. Later G. W. Leibnitz (1646-1716) in his manuscript “Methodus tangentium inversa, seu de functionibus” written in 1673 used the word ‘function’ to mean a quantity varying from point to point on a curve such as the coordinates of a point on the curve, the slope of the curve, the tangent and the normal to the curve at a point. However, in his manuscript “Historia” (1714), Leibnitz used the word ‘function’ to mean quantities that depend on a variable. He was the first to use the phrase ‘function of x’. John Bernoulli (1667-1748) used the notation φx for the first time in 1718 to indicate a function of x. But the general adoption of symbols like f, F, φ, ψ ... to represent functions was made by Leonhard Euler (1707-1783) in 1734 in the first part of his manuscript “Analysis Infinitorium”. Later on, Joeph Louis Lagrange (1736-1813) published his manuscripts “Theorie des functions analytiques” in 1793, where he discussed about analytic function and used the notion f(x), F(x), φ(x) etc. for different function of x. Subsequently, Lejeunne Dirichlet
(1805-1859) gave the definition of function which was being used till the set theoretic definition of function presently used, was given after set theory was developed by Georg Cantor (1845-1918). The set theoretic definition of function known to us presently is simply an abstraction of the definition given by Dirichlet in a rigorous manner.
