Table of Contents
Chapter 3
MATRICES
The essence of mathematics lies in its freedom. — Cantor 
3.1 Introduction
The knowledge of matrices is necessary in various branches of mathematics. Matrices are one of the most powerful tools in mathematics. This mathematical tool simplifies our work to a great extent when compared with other straight forward methods. The evolution of concept of matrices is the result of an attempt to obtain compact and simple methods of solving system of linear equations. Matrices are not only used as a representation of the coefficients in system of linear equations, but utility of matrices far exceeds that use. Matrix notation and operations are used in electronic spreadsheet programs for personal computer, which in turn is used in different areas of business and science like budgeting, sales projection, cost estimation, analysing the results of an experiment etc. Also, many physical operations such as magnification, rotation and reflection through a plane can be represented mathematically by matrices. Matrices are also used in cryptography. This mathematical tool is not only used in certain branches of sciences, but also in genetics, economics, sociology, modern psychology and industrial management.
In this chapter, we shall find it interesting to become acquainted with the fundamentals of matrix and matrix algebra.
3.2 Matrix
Suppose we wish to express the information that Radha has 15 notebooks. We may express it as [15] with the understanding that the number inside [ ] is the number of notebooks that Radha has. Now, if we have to express that Radha has 15 notebooks and 6 pens. We may express it as [15 6] with the understanding that first number inside [ ] is the number of notebooks while the other one is the number of pens possessed by Radha. Let us now suppose that we wish to express the information of possession of notebooks and pens by Radha and her two friends Fauzia and Simran which
is as follows:
Radha has 15 notebooks and 6 pens,
Fauzia has 10 notebooks and 2 pens,
Simran has 13 notebooks and 5 pens.
Now this could be arranged in the tabular form as follows:
Notebooks Pens
Radha 15 6
Fauzia 10 2
Simran 13 5
and this can be expressed as

or
| Radha | Fauzia | Simran | |
| Notebooks | 15 | 10 | 13 |
| Pens | 6 | 2 | 5 |
which can be expressed as:

In the first arrangement the entries in the first column represent the number of note books possessed by Radha, Fauzia and Simran, respectively and the entries in the second column represent the number of pens possessed by Radha, Fauzia and Simran, respectively. Similarly, in the second arrangement, the entries in the first row represent the number of notebooks possessed by Radha, Fauzia and Simran, respectively. The entries in the second row represent the number of pens possessed by Radha, Fauzia and Simran, respectively. An arrangement or display of the above kind is called a matrix. Formally, we define matrix as:
Definition 1 A matrix is an ordered rectangular array of numbers or functions. The numbers or functions are called the elements or the entries of the matrix.
We denote matrices by capital letters. The following are some examples of matrices:

In the above examples, the horizontal lines of elements are said to constitute, rows of the matrix and the vertical lines of elements are said to constitute, columns of the matrix. Thus A has 3 rows and 2 columns, B has 3 rows and 3 columns while C has 2 rows and 3 columns.
3.2.1 Order of a matrix
A matrix having m rows and n columns is called a matrix of order m × n or simply m × n matrix (read as an m by n matrix). So referring to the above examples of matrices, we have A as 3 × 2 matrix, B as 3 × 3 matrix and C as 2 × 3 matrix. We observe that A has 3 × 2 = 6 elements, B and C have 9 and 6 elements, respectively.
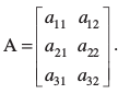
In general, an m × n matrix has the following rectangular array:

or A = [aij]m × n, 1≤ i ≤ m, 1≤ j ≤ n i, j ∈ N
Thus the ith row consists of the elements ai1, ai2, ai3,..., ain, while the jth column consists of the elements a1j, a2j, a3j,..., amj,
In general aij, is an element lying in the ith row and jth column. We can also call
it as the (i, j)th element of A. The number of elements in an m × n matrix will be
equal to mn.
Note In this chapter
1. We shall follow the notation, namely A = [aij]m × n to indicate that A is a matrix of order m × n.
2. We shall consider only those matrices whose elements are real numbers or functions taking real values.
We can also represent any point (x, y) in a plane by a matrix (column or row) as 
(or [x, y]). For example point P(0, 1) as a matrix representation may be given as
or [0 1].
Observe that in this way we can also express the vertices of a closed rectilinear figure in the form of a matrix. For example, consider a quadrilateral ABCD with vertices A (1, 0), B (3, 2), C (1, 3), D (–1, 2).
Now, quadrilateral ABCD in the matrix form, can be represented as

Thus, matrices can be used as representation of vertices of geometrical figures in a plane.
Now, let us consider some examples.
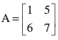
Example 1 Consider the following information regarding the number of men and women workers in three factories I, II and III
| Men workers | Women workers | |
| I | 30 | 25 |
| II | 25 | 31 |
| III | 27 | 26 |
Represent the above information in the form of a 3 × 2 matrix. What does the entry in the third row and second column represent?
Solution The information is represented in the form of a 3 × 2 matrix as follows:

The entry in the third row and second column represents the number of women workers in factory III.
Example 2 If a matrix has 8 elements, what are the possible orders it can have?
Solution We know that if a matrix is of order m × n, it has mn elements. Thus, to find all possible orders of a matrix with 8 elements, we will find all ordered pairs of natural numbers, whose product is 8.
Thus, all possible ordered pairs are (1, 8), (8, 1), (4, 2), (2, 4)
Hence, possible orders are 1 × 8, 8 ×1, 4 × 2, 2 × 4
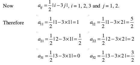
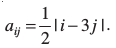
Example 3 Construct a 3 × 2 matrix whose elements are given by
.
Solution In general a 3 × 2 matrix is given by
.

Hence the required matrix is given by
.
3.3 Types of Matrices
In this section, we shall discuss different types of matrices.
(i) Column matrix
A matrix is said to be a column matrix if it has only one column.
For example,
is a column matrix of order 4 × 1.
In general, A = [aij]m × 1 is a column matrix of order m × 1.
(ii) Row matrix
A matrix is said to be a row matrix if it has only one row.
For example,
is a row matrix.
In general, B = [bij]1 × n is a row matrix of order 1 × n.
(iii) Square matrix
A matrix in which the number of rows are equal to the number of columns, is said to be a square matrix. Thus an m × n matrix is said to be a square matrix if m = n and is known as a square matrix of order ‘n’.
For example
is a square matrix of order 3.
In general, A = [aij]m × m is a square matrix of order m.
Note If A = [aij] is a square matrix of order n, then elements (entries) a11, a22, ..., ann are said to constitute the diagonal, of the matrix A. Thus, if
.
Then the elements of the diagonal of A are 1, 4, 6.
(iv) Diagonal matrix
A square matrix B = [bij]m × m is said to be a diagonal matrix if all its non diagonal elements are zero, that is a matrix B = [bij]m × m is said to be a diagonal matrix if bij = 0, when i ≠ j.
For example,
, are diagonal matrices of order 1, 2, 3, respectively.
(v) Scalar matrix
A diagonal matrix is said to be a scalar matrix if its diagonal elements are equal, that is, a square matrix B = [bij]n × n is said to be a scalar matrix if
bij = 0, when i ≠ j
bij = k, when i = j, for some constant k.
For example
A = [3],
,
are scalar matrices of order 1, 2 and 3, respectively.
(vi) Identity matrix
A square matrix in which elements in the diagonal are all 1 and rest are all zero is called an identity matrix. In other words, the square matrix A = [aij]n × n is an identity matrix, if 
We denote the identity matrix of order n by In. When order is clear from the context, we simply write it as I.
For example
are identity matrices of order 1, 2 and 3, respectively.
Observe that a scalar matrix is an identity matrix when k = 1. But every identity matrix is clearly a scalar matrix.
(vii) Zero matrix
A matrix is said to be zero matrix or null matrix if all its elements are zero.
For example,
are all zero matrices. We denote zero matrix by O. Its order will be clear from the context.
3.3.1 Equality of matrices
Definition 2 Two matrices A = [aij] and B = [bij] are said to be equal if
(i) they are of the same order
(ii) each element of A is equal to the corresponding element of B, that is aij = bij for all i and j.
For example,
are equal matrices but
are not equal matrices. Symbolically, if two matrices A and B are equal, we write A = B.
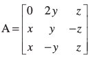
If 
Example 4 If 
Find the values of a, b, c, x, y and z.
Solution As the given matrices are equal, therefore, their corresponding elements must be equal. Comparing the corresponding elements, we get
x + 3 = 0, z + 4 = 6, 2y – 7 = 3y – 2
a – 1 = – 3, 0 = 2c + 2 b – 3 = 2b + 4,
Simplifying, we get
a = – 2, b = – 7, c = – 1, x = – 3, y = –5, z = 2
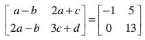
Example 5 Find the values of a, b, c, and d from the following equation:

Solution By equality of two matrices, equating the corresponding elements, we get
2a + b = 4 5c – d = 11
a – 2b = – 3 4c + 3d = 24
Solving these equations, we get
a = 1, b = 2, c = 3 and d = 4
EXERCISE 3.1
1. In the matrix
, write:
(i) The order of the matrix, (ii) The number of elements,
(iii) Write the elements a13, a21, a33, a24, a23.
2. If a matrix has 24 elements, what are the possible orders it can have? What, if it has 13 elements?
3. If a matrix has 18 elements, what are the possible orders it can have? What, if it has 5 elements?
4. Construct a 2 × 2 matrix, A = [aij], whose elements are given by:

5. Construct a 3 × 4 matrix, whose elements are given by:

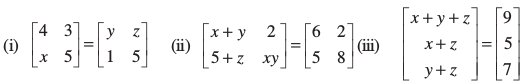
6. Find the values of x, y and z from the following equations:

7. Find the value of a, b, c and d from the equation:

8. A = [aij]m × n\ is a square matrix, if
(A) m < n
(B) m > n
(C) m = n
(D) None of these
9. Which of the given values of x and y make the following pair of matrices equal


10. The number of all possible matrices of order 3 × 3 with each entry 0 or 1 is:
(A) 27
(B) 18
(C) 81
(D) 512
3.4 Operations on Matrices
In this section, we shall introduce certain operations on matrices, namely, addition of matrices, multiplication of a matrix by a scalar, difference and multiplication of matrices.
3.4.1 Addition of matrices
Suppose Fatima has two factories at places A and B. Each factory produces sport shoes for boys and girls in three different price categories labelled 1, 2 and 3. The quantities produced by each factory are represented as matrices given below:

Suppose Fatima wants to know the total production of sport shoes in each price category. Then the total production
In category 1 : for boys (80 + 90), for girls (60 + 50)
In category 2 : for boys (75 + 70), for girls (65 + 55)
In category 3 : for boys (90 + 75), for girls (85 + 75)
This can be represented in the matrix form as
.
This new matrix is the sum of the above two matrices. We observe that the sum of two matrices is a matrix obtained by adding the corresponding elements of the given matrices. Furthermore, the two matrices have to be of the same order.
Thus, if
is a 2 × 3 matrix and
is another
2×3 matrix. Then, we define
.
In general, if A = [aij] and B = [bij] are two matrices of the same order, say m × n. Then, the sum of the two matrices A and B is defined as a matrix C = [cij]m × n, where
cij = aij + bij, for all possible values of i and j.
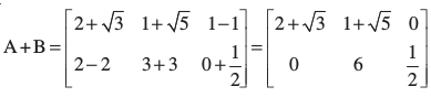
Example 6 Given
find A + B
Since A, B are of the same order 2 × 3. Therefore, addition of A and B is defined and is given by

Note 1. We emphasise that if A and B are not of the same order, then A + B is not defined. For example if
then A + B is not defined.
2. We may observe that addition of matrices is an example of binary operation on the set of matrices of the same order.
3.4.2 Multiplication of a matrix by a scalar
Now suppose that Fatima has doubled the production at a factory A in all categories (refer to 3.4.1).
Previously quantities (in standard units) produced by factory A were

Revised quantities produced by factory A are as given below:

This can be represented in the matrix form as
. We observe that the new matrix is obtained by multiplying each element of the previous matrix by 2.
In general, we may define multiplication of a matrix by a scalar as follows: if
A = [aij]m × n is a matrix and k is a scalar, then kA is another matrix which is obtained by multiplying each element of A by the scalar k.
In other words, kA = k[aij]m × n = [k(aij)]m × n, that is, (i, j)th element of kA is kaij for all possible values of i and j.
For example, if A =
, then

Negative of a matrix The negative of a matrix is denoted by –A. We define
–A = (–1) A.
For example, let A =
, then – A is given by
– A = (– 1)
Difference of matrices If A = [aij], B = [bij] are two matrices of the same order, say m × n, then difference A – B is defined as a matrix D = [dij], where dij = aij – bij, for all value of i and j. In other words, D = A – B = A + (–1) B, that is sum of the matrix A and the matrix – B.
Example 7 If
, then find 2A – B.
Solution We have

3.4.3 Properties of matrix addition
The addition of matrices satisfy the following properties:
(i) Commutative Law If A = [aij], B = [bij] are matrices of the same order, say
m × n, then A + B = B + A.
Now A + B = [aij] + [bij] = [aij + bij]
= [bij + aij] (addition of numbers is commutative)
= ([bij] + [aij]) = B + A
(ii) Associative Law For any three matrices A = [aij], B = [bij], C = [cij] of the same order, say m × n, (A + B) + C = A + (B + C).
Now (A + B) + C = ([aij] + [bij]) + [cij]
= [aij + bij] + [cij] = [(aij + bij) + cij]
= [aij + (bij + cij)] (Why?)
= [aij] + [(bij + cij)] = [aij] + ([bij] + [cij]) = A + (B + C)
(iii) Existence of additive identity Let A = [aij] be an m × n matrix and
O be an m × n zero matrix, then A + O = O + A = A. In other words, O is the additive identity for matrix addition.
(iv) The existence of additive inverse Let A = [aij]m × n be any matrix, then we have another matrix as – A = [– aij]m × n such that A + (– A) = (– A) + A= O. So – A is the additive inverse of A or negative of A.
3.4.4 Properties of scalar multiplication of a matrix
If A = [aij] and B = [bij] be two matrices of the same order, say m × n, and k and l are scalars, then
(i) k(A +B) = k A + kB, (ii) (k + l)A = k A + l A
(ii) k (A + B) = k ([aij] + [bij])
= k [aij + bij] = [k (aij + bij)] = [(k aij) + (k bij)]
= [k aij] + [k bij] = k [aij] + k [bij] = kA + kB
(iii) (k + l) A = (k + l) [aij]
= [(k + l) aij] + [k aij] + [l aij] = k [aij] + l [aij] = k A + l A
Example 8 If
, then find the matrix X, such that
2A + 3X = 5B.
Solution We have 2A + 3X = 5B
or 2A + 3X – 2A = 5B – 2A
or 2A – 2A + 3X = 5B – 2A (Matrix addition is commutative)
or O + 3X = 5B – 2A (– 2A is the additive inverse of 2A)
or 3X = 5B – 2A (O is the additive identity)


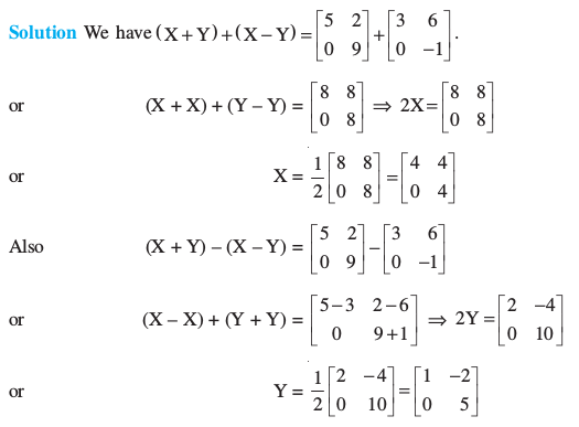
Example 9 Find X and Y, if 

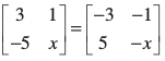
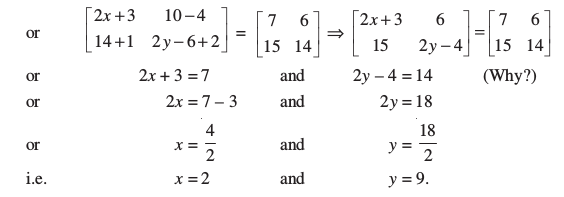
Example 10 Find the values of x and y from the following equation:

Solution We have


Example 11 Two farmers Ramkishan and Gurcharan Singh cultivates only three varieties of rice namely Basmati, Permal and Naura. The sale (in Rupees) of these varieties of rice by both the farmers in the month of September and October are given by the following matrices A and B.

(i) Find the combined sales in September and October for each farmer in each variety.
(ii) Find the decrease in sales from September to October.
(iii) If both farmers receive 2% profit on gross sales, compute the profit for each farmer and for each variety sold in October.
Solution
(i) Combined sales in September and October for each farmer in each variety is given by

(ii) Change in sales from September to October is given by


Thus, in October Ramkishan receives ₹ 100, ₹ 200 and ₹ 120 as profit in the
sale of each variety of rice, respectively, and Grucharan Singh receives profit of ₹ 400, ₹ 200 and ₹ 200 in the sale of each variety of rice, respectively.
3.4.5 Multiplication of matrices
Suppose Meera and Nadeem are two friends. Meera wants to buy 2 pens and 5 story books, while Nadeem needs 8 pens and 10 story books. They both go to a shop to enquire about the rates which are quoted as follows:
Pen – ₹ 5 each, story book – ₹ 50 each.
How much money does each need to spend? Clearly, Meera needs ₹ (5 × 2 + 50 × 5) that is ₹ 260, while Nadeem needs (8 × 5 + 50 × 10) ₹, that is ₹ 540. In terms of matrix representation, we can write the above information as follows:
Requirements Prices per piece (in Rupees) Money needed (in Rupees)

Suppose that they enquire about the rates from another shop, quoted as follows:
pen – ₹ 4 each, story book – ₹ 40 each.
Now, the money required by Meera and Nadeem to make purchases will be respectively ₹ (4 × 2 + 40 × 5) = ₹ 208 and ₹ (8 × 4 + 10 × 40) = ₹ 432
Again, the above information can be represented as follows:
Requirements Prices per piece (in Rupees) Money needed (in Rupees)

Now, the information in both the cases can be combined and expressed in terms of matrices as follows:
Requirements Prices per piece (in Rupees) Money needed (in Rupees)

The above is an example of multiplication of matrices. We observe that, for multiplication of two matrices A and B, the number of columns in A should be equal to the number of rows in B. Furthermore for getting the elements of the product matrix, we take rows of A and columns of B, multiply them element-wise and take the sum. Formally, we define multiplication of matrices as follows:
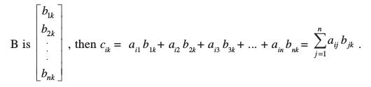
The product of two matrices A and B is defined if the number of columns of A is equal to the number of rows of B. Let A = [aij] be an m × n matrix and B = [bjk] be an n × p matrix. Then the product of the matrices A and B is the matrix C of order m × p. To get the (i, k)th element cik of the matrix C, we take the ith row of A and kth column of B, multiply them elementwise and take the sum of all these products. In other words, if A = [aij]m × n, B = [bjk]n × p, then the ith row of A is [ai1 ai2 ... ain] and the kth column of B is 
The matrix C = [cik]m × p is the product of A and B.
For example, if
, then the product CD is defined and is given by
. This is a 2 × 2 matrix in which each entry is the sum of the products across some row of C with the corresponding entries down some column of D. These four computations are

Example 12 Find AB, if
.
Solution The matrix A has 2 columns which is equal to the number of rows of B. Hence AB is defined. Now

Remark If AB is defined, then BA need not be defined. In the above example, AB is defined but BA is not defined because B has 3 column while A has only 2 (and not 3) rows. If A, B are, respectively m × n, k × l matrices, then both AB and BA are defined if and only if n = k and l = m. In particular, if both A and B are square matrices of the same order, then both AB and BA are defined.
Non-commutativity of multiplication of matrices
Now, we shall see by an example that even if AB and BA are both defined, it is not necessary that AB = BA.
Example 13 If
, then find AB, BA. Show that AB ≠ BA.
Solution Since A is a 2 × 3 matrix and B is 3 × 2 matrix. Hence AB and BA are both defined and are matrices of order 2 × 2 and 3 × 3, respectively. Note that

Clearly AB ≠ BA
In the above example both AB and BA are of different order and so AB ≠ BA. But one may think that perhaps AB and BA could be the same if they were of the same order. But it is not so, here we give an example to show that even if AB and BA are of same order they may not be same.
Example 14 If 
Clearly AB ≠ BA.
Thus matrix multiplication is not commutative.
Note This does not mean that AB ≠ BA for every pair of matrices A, B for which AB and BA, are defined. For instance,

Observe that multiplication of diagonal matrices of same order will be commutative.
Zero matrix as the product of two non zero matrices
We know that, for real numbers a, b if ab = 0, then either a = 0 or b = 0. This need not be true for matrices, we will observe this through an example.
Example 15 Find AB, if 
Solution We have
.
Thus, if the product of two matrices is a zero matrix, it is not necessary that one of the matrices is a zero matrix.
3.4.6 Properties of multiplication of matrices
The multiplication of matrices possesses the following properties, which we state without proof.
1. The associative law For any three matrices A, B and C. We have
(AB) C = A (BC), whenever both sides of the equality are defined.
2. The distributive law For three matrices A, B and C.
(i) A (B+C) = AB + AC
(ii) (A+B) C = AC + BC, whenever both sides of equality are defined.
3. The existence of multiplicative identity For every square matrix A, there exist an identity matrix of same order such that IA = AI = A.
Now, we shall verify these properties by examples.
Example 16 If
, find A(BC), (AB)C and show that (AB)C = A(BC).
Solution We have



Example 18 If
then show that A3 – 23A – 40 I = O
Solution We have 

Example 19 In a legislative assembly election, a political group hired a public relations firm to promote its candidate in three ways: telephone, house calls, and letters. The cost per contact (in paise) is given in matrix A as

The number of contacts of each type made in two cities X and Y is given by
. Find the total amount spent by the group in the two cities X and Y.
Solution We have

So the total amount spent by the group in the two cities is 340,000 paise and 720,000 paise, i.e., ₹ 3400 and ₹ 7200, respectively.
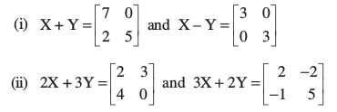
EXERCISE 3.2
1. Let 
Find each of the following:
(i) A + B (ii) A – B (iii) 3A – C
(iv) AB (v) BA
2. Compute the following:

3. Compute the indicated products.

4. If
then compute (A+B) and (B – C). Also, verify that A + (B – C) = (A + B) – C.
5. If
, then compute 3A – 5B.
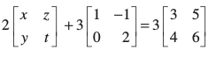
6. Simplify 
7. Find X and Y, if

8. Find X, 
9. Find x and y, if 
10. Solve the equation for x, y, z and t, if 
11. If
, find the values of x and y.
12. Given
, find the values of x, y, z and w.
13. If
, show that F(x) F(y) = F(x + y).
14. Show that

15. Find A2 – 5A + 6I, if 
16. If
, prove that A3 – 6A2 + 7A + 2I = 0
17. If
, find k so that A2 = kA – 2I
18. If
and I is the identity matrix of order 2, show that

19. A trust fund has ₹ 30,000 that must be invested in two different types of bonds. The first bond pays 5% interest per year, and the second bond pays 7% interest per year. Using matrix multiplication, determine how to divide ₹ 30,000 among the two types of bonds. If the trust fund must obtain an annual total interest of:
(a) ₹ 1800 (b) ₹ 2000
20. The bookshop of a particular school has 10 dozen chemistry books, 8 dozen physics books, 10 dozen economics books. Their selling prices are ₹ 80, ₹ 60 and ₹ 40 each respectively. Find the total amount the bookshop will receive from selling all the books using matrix algebra.
Assume X, Y, Z, W and P are matrices of order 2 × n, 3 × k, 2 × p, n × 3 and p × k, respectively. Choose the correct answer in Exercises 21 and 22.
21. The restriction on n, k and p so that PY + WY will be defined are:
(A) k = 3, p = n (B) k is arbitrary, p = 2
(C) p is arbitrary, k = 3 (D) k = 2, p = 3
22. If n = p, then the order of the matrix 7X – 5Z is:
(A) p × 2 (B) 2 × n (C) n × 3 (D) p × n
3.5. Transpose of a Matrix
In this section, we shall learn about transpose of a matrix and special types of matrices such as symmetric and skew symmetric matrices.
Definition 3 If A = [aij] be an m × n matrix, then the matrix obtained by interchanging the rows and columns of A is called the transpose of A. Transpose of the matrix A is denoted by A′ or (AT). In other words, if A = [aij]m × n, then A′ = [aji]n × m. For example, if 
3.5.1 Properties of transpose of the matrices
We now state the following properties of transpose of matrices without proof. These may be verified by taking suitable examples.
For any matrices A and B of suitable orders, we have
(i) (A′)′ = A, (ii) (kA)′ = kA′ (where k is any constant)
(iii) (A + B)′ = A′ + B′ (iv) (A B)′ = B′ A′
Example 20 If
, verify that
(i) (A′)′ = A, (ii) (A + B)′ = A′ + B′,
(iii) (kB)′ = kB′, where k is any constant.
Solution
(i) We have

(ii) We have

Example 21 If
, verify that (AB)′ = B′A′.
Solution We have

Clearly (AB)′ = B′A′
3.6 Symmetric and Skew Symmetric Matrices
Definition 4 A square matrix A = [aij] is said to be symmetric if A′ = A, that is,
[aij] = [aji] for all possible values of i and j.
For example
is a symmetric matrix as A′ = A
Definition 5 A square matrix A = [aij] is said to be skew symmetric matrix if
A′ = – A, that is aji = – aij for all possible values of i and j. Now, if we put i = j, we have aii = – aii. Therefore 2aii = 0 or aii = 0 for all i’s.
This means that all the diagonal elements of a skew symmetric matrix are zero.
For example, the matrix
is a skew symmetric matrix as B′= –B
Now, we are going to prove some results of symmetric and skew-symmetric matrices.
Theorem 1 For any square matrix A with real number entries, A + A′ is a symmetric matrix and A – A′ is a skew symmetric matrix.
Proof Let B = A + A′, then
B′ = (A + A′)′
= A′ + (A′)′ (as (A + B)′ = A′ + B′)
= A′ + A (as (A′)′ = A)
= A + A′ (as A + B = B + A)
= B
Therefore B = A + A′ is a symmetric matrix
Now let C = A – A′
C′ = (A – A′)′ = A′ – (A′)′ (Why?)
= A′ – A (Why?)
= – (A – A′) = – C
Therefore C = A – A′ is a skew symmetric matrix.
Theorem 2 Any square matrix can be expressed as the sum of a symmetric and a skew symmetric matrix.
Proof Let A be a square matrix, then we can write

From the Theorem 1, we know that (A + A′) is a symmetric matrix and (A – A′) is a skew symmetric matrix. Since for any matrix A, (kA)′ = kA′, it follows that
is symmetric matrix and
is skew symmetric matrix. Thus, any square matrix can be expressed as the sum of a symmetric and a skew symmetric matrix.
Example 22 Express the matrix
as the sum of a symmetric and a skew symmetric matrix.
Solution Here




Thus, B is represented as the sum of a symmetric and a skew symmetric matrix.
EXERCISE 3.3
1. Find the transpose of each of the following matrices:

2. If
, then verify that
(i) (A + B)′ = A′ + B′, (ii) (A – B)′ = A′ – B′
3. If
, then verify that
(i) (A + B)′ = A′ + B′ (ii) (A – B)′ = A′ – B′
4. If
, then find (A + 2B)′
5. For the matrices A and B, verify that (AB)′ = B′A′, where

6. If (i)
, then verify that A′ A = I
(ii) If
, then verify that A′ A = I
7. (i) Show that the matrix
is a symmetric matrix.
(ii) Show that the matrix
is a skew symmetric matrix.
8. For the matrix
, verify that
(i) (A + A′) is a symmetric matrix
(ii) (A – A′) is a skew symmetric matrix
9. Find 
10. Express the following matrices as the sum of a symmetric and a skew symmetric matrix:

Choose the correct answer in the Exercises 11 and 12.
11. If A, B are symmetric matrices of same order, then AB – BA is a
(A) Skew symmetric matrix (B) Symmetric matrix
(C) Zero matrix (D) Identity matrix
12. If
and A + A′ = I, then the value of α is
(A)
(B)
(C) π (D) 
3.7 Elementary Operation (Transformation) of a matrix
There are six operations (transformations) on a matrix, three of which are due to rows and three due to columns, which are known as elementary operations or transformations.
(i) The interchange of any two rows or two columns. Symbolically the interchange of ith and jth rows is denoted by Ri ↔ Rj and interchange of ith and jth column is denoted by Ci ↔ Cj.
For example, applying R1 ↔ R2 to 
(ii) The multiplication of the elements of any row or column by a non zero number. Symbolically, the multiplication of each element of the ith row by k, where k ≠ 0 is denoted by Ri → kRi.
The corresponding column operation is denoted by Ci → kCi
For example, applying 
(iii) The addition to the elements of any row or column, the corresponding elements of any other row or column multiplied by any non zero number.
Symbolically, the addition to the elements of ith row, the corresponding elements of jth row multiplied by k is denoted by Ri → Ri + kRj.
The corresponding column operation is denoted by Ci → Ci + kCj.
For example, applying R2 → R2 – 2R1, to
.
3.8 Invertible Matrices
Definition 6 If A is a square matrix of order m, and if there exists another square matrix B of the same order m, such that AB = BA = I, then B is called the inverse matrix of A and it is denoted by A– 1. In that case A is said to be invertible.
For example, let
e two matrices.

Also
. Thus B is the inverse of A, in other words B = A– 1 and A is inverse of B, i.e., A = B–1
Note
1. A rectangular matrix does not possess inverse matrix, since for products BA and AB to be defined and to be equal, it is necessary that matrices A and B should be square matrices of the same order.
2. If B is the inverse of A, then A is also the inverse of B.
Theorem 3 (Uniqueness of inverse) Inverse of a square matrix, if it exists, is unique.
Proof Let A = [aij] be a square matrix of order m. If possible, let B and C be two inverses of A. We shall show that B = C.
Since B is the inverse of A
AB = BA = I ... (1)
Since C is also the inverse of A
AC = CA = I ... (2)
Thus B = BI = B (AC) = (BA) C = IC = C
Theorem 4 If A and B are invertible matrices of the same order, then (AB)–1 = B–1 A–1.
Proof From the definition of inverse of a matrix, we have
(AB) (AB)–1 = 1
or A–1 (AB) (AB)–1 = A–1I (Pre multiplying both sides by A–1)
or (A–1A) B (AB)–1 = A–1 (Since A–1 I = A–1)
or IB (AB)–1 = A–1
or B (AB)–1 = A–1
or B–1 B (AB)–1 = B–1 A–1
or I (AB)–1 = B–1 A–1
Hence (AB)–1 = B–1 A–1
3.8.1 Inverse of a matrix by elementary operations
Let X, A and B be matrices of, the same order such that X = AB. In order to apply a sequence of elementary row operations on the matrix equation X = AB, we will apply these row operations simultaneously on X and on the first matrix A of the product AB on RHS.
Similarly, in order to apply a sequence of elementary column operations on the matrix equation X = AB, we will apply, these operations simultaneously on X and on the second matrix B of the product AB on RHS.
In view of the above discussion, we conclude that if A is a matrix such that A–1 exists, then to find A–1 using elementary row operations, write A = IA and apply a sequence of row operation on A = IA till we get, I = BA. The matrix B will be the inverse of A. Similarly, if we wish to find A–1 using column operations, then, write
A = AI and apply a sequence of column operations on A = AI till we get, I = AB.
Remark In case, after applying one or more elementary row (column) operations on
A = IA (A = AI), if we obtain all zeros in one or more rows of the matrix A on L.H.S., then A–1 does not exist.
Example 23 By using elementary operations, find the inverse of the matrix
.
Solution In order to use elementary row operations we may write A = IA.
or
(applying R2 → R2 – 2R1)

Alternatively, in order to use elementary column operations, we write A = AI, i.e.,

Example 24 Obtain the inverse of the following matrix using elementary operations 
Solution Write A = I A, i.e., 



Alternatively, write A = AI, i.e.,


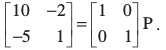
Example 25 Find P–1, if it exists, given 
Solution We have P = I P, i.e., 

or
(applying R2 → R2 + 5R1)
We have all zeros in the second row of the left hand side matrix of the above equation. Therefore, P–1 does not exist.
EXERCISE 3.4
Using elementary transformations, find the inverse of each of the matrices, if it exists in Exercises 1 to 17.

18. Matrices A and B will be inverse of each other only if
(A) AB = BA (B) AB = BA = 0
(C) AB = 0, BA = I (D) AB = BA = I
Miscellaneous Examples
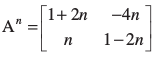
Example 26
If
, then prove that
, n ∈ N.
Solution We shall prove the result by using principle of mathematical induction.

Therefore, the result is true for n = 1.
Let the result be true for n = k. So

Therefore, the result is true for n = k + 1. Thus by principle of mathematical induction, we have
, holds for all natural numbers.
Example 27 If A and B are symmetric matrices of the same order, then show that AB is symmetric if and only if A and B commute, that is AB = BA.
Solution Since A and B are both symmetric matrices, therefore A′ = A and B′ = B.
Let AB be symmetric, then (AB)′ = AB
But (AB)′ = B′A′= BA (Why?)
Therefore BA = AB
Conversely, if AB = BA, then we shall show that AB is symmetric.
Now (AB)′ = B′A′
= B A (as A and B are symmetric)
= AB
Hence AB is symmetric.
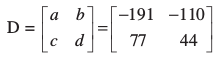
Example 28 Let
. Find a matrix D such that CD – AB = O.
Solution Since A, B, C are all square matrices of order 2, and CD – AB is well defined, D must be a square matrix of order 2.
Let D =
. Then CD – AB = 0 gives

By equality of matrices, we get
2a + 5c – 3 = 0 ... (1)
3a + 8c – 43 = 0 ... (2)
2b + 5d = 0 ... (3)
and 3b + 8d – 22 = 0 ... (4)
Solving (1) and (2), we get a = –191, c = 77. Solving (3) and (4), we get b = – 110, d = 44.
Therefore 
Miscellaneous Exercise on Chapter 3
1. Let
, show that (aI + bA)n = an I + nan – 1 bA, where I is the identity matrix of order 2 and n ∈ N.
2. If
, prove that 
3. If
, where
is any positive integer.
4. If A and B are symmetric matrices, prove that AB – BA is a skew symmetric matrix.
5. Show that the matrix B′AB is symmetric or skew symmetric according as A is symmetric or skew symmetric.
6. Find the values of x, y, z if the matrix
satisfy the equation
A′A = I.
7. For what values of x : 
8. If
, show that A2 – 5A + 7I = 0.
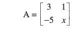
9. Find x, if 
10. A manufacturer produces three products x, y, z which he sells in two markets. Annual sales are indicated below:
| Market | Products |
| I | 10,000 2,000 18,000 |
| II | 6,000 20,000 8,000 |
(a) If unit sale prices of x, y and z are ₹ 2.50, ₹ 1.50 and ₹ 1.00, respectively,
find the total revenue in each market with the help of matrix algebra.
(b) If the unit costs of the above three commodities are ₹ 2.00, ₹ 1.00 and
50 paise respectively. Find the gross profit.
11. Find the matrix X so that 
12. If A and B are square matrices of the same order such that AB = BA, then prove by induction that ABn = BnA. Further, prove that (AB)n = AnBn for all n ∈ N.
Choose the correct answer in the following questions:
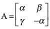
13. If
is such that A² = I, then
(A) 1 + α² + βγ = 0
(B) 1 – α² + βγ = 0
(C) 1 – α² – βγ = 0
(D) 1 + α² – βγ = 0
14. If the matrix A is both symmetric and skew symmetric, then
(A) A is a diagonal matrix
(B) A is a zero matrix
(C) A is a square matrix
(D) None of these
15. If is square matrix such that A2 = A, then (I + A)³ – 7 A is equal to
(A) A (B) I – A (C) I (D) 3A
Summary
A matrix is an ordered rectangular array of numbers or functions.
A matrix having m rows and n columns is called a matrix of order m × n.
[aij]m × 1 is a column matrix.
[aij]1 × n is a row matrix.
An m × n matrix is a square matrix if m = n.
A = [aij]m × m is a diagonal matrix if aij = 0, when i ≠ j.
A = [aij]n × n is a scalar matrix if aij = 0, when i ≠ j, aij = k, (k is some constant), when i = j.
A = [aij]n × n is an identity matrix, if aij = 1, when i = j, aij = 0, when i ≠ j.
A zero matrix has all its elements as zero.
A = [aij] = [bij] = B if (i) A and B are of same order, (ii) aij = bij for all possible values of i and j.
kA = k[aij]m × n = [k(aij)]m × n
– A = (–1)A
A – B = A + (–1) B
A + B = B + A
(A + B) + C = A + (B + C), where A, B and C are of same order.
k(A + B) = kA + kB, where A and B are of same order, k is constant.
(k + l) A = kA + lA, where k and l are constant.
If A = [aij]m × n and B = [bjk]n × p, then AB = C = [cik]m × p, where
(i) A(BC) = (AB)C, (ii) A(B + C) = AB + AC, (iii) (A + B)C = AC + BC
If A = [aij]m × n, then A′ or AT = [aji]n × m
(i) (A′)′ = A, (ii) (kA)′ = kA′, (iii) (A + B)′ = A′ + B′, (iv) (AB)′ = B′A′
A is a symmetric matrix if A′ = A.
A is a skew symmetric matrix if A′ = –A.
Any square matrix can be represented as the sum of a symmetric and a skew symmetric matrix.
Elementary operations of a matrix are as follows:
(i) Ri ↔ Rj or Ci ↔ Cj
(ii) Ri → kRi or Ci → kCi
(iii) Ri → Ri + kRj or Ci → Ci + kCj
If A and B are two square matrices such that AB = BA = I, then B is the inverse matrix of A and is denoted by A–1 and A is the inverse of B.
Inverse of a square matrix, if it exists, is unique.
