Table of Contents
Chapter 8
APPLICATION OF INTEGRALS
☘ One should study Mathematics because it is only through Mathematics that nature can be conceived in harmonious form. – Birkhoff ☘
8.1 Introduction
In geometry, we have learnt formulae to calculate areas of various geometrical figures including triangles, rectangles, trapezias and circles. Such formulae are fundamental in the applications of mathematics to many real life problems. The formulae of elementary geometry allow us to calculate areas of many simple figures. However, they are inadequate for calculating the areas enclosed by curves. For that we shall need some concepts of Integral Calculus.
A.L. Cauchy
(1789-1857)
In the previous chapter, we have studied to find the area bounded by the curve y = f (x), the ordinates x = a,
x = b and x-axis, while calculating definite integral as the limit of a sum. Here, in this chapter, we shall study a specific application of integrals to find the area under simple curves, area between lines and arcs of circles, parabolas and ellipses (standard forms only). We shall also deal with finding the area bounded by the above said curves.
8.2 Area under Simple Curves
y = f(x), x-axis and the ordinates x = a and x = b. From Fig 8.1, we can think of area under the curve as composed of large number of very thin vertical strips. Consider an arbitrary strip of height y and width dx, then dA (area of the elementary strip)= ydx, where, y = f(x).

Fig 8.1
y = f (x) as the result of adding up the elementary areas of thin strips across the region PQRSP. Symbolically, we express
A = 
the curve x = g (y), y-axis and the lines y = c,
y = d is given by
A = 

Fig 8.2
Here, we consider horizontal strips as shown in the Fig 8.2
Remark If the position of the curve under consideration is below the x-axis, then since f(x) < 0 from x = a to x = b, as shown in Fig 8.3, the area bounded by the curve, x-axis and the ordinates x = a, x = b come out to be negative. But, it is only the numerical value of the area which is taken into consideration. Thus, if the area is negative, we take its absolute value, i.e.,
.

Fig 8.3
Generally, it may happen that some portion of the curve is above x-axis and some is below the x-axis as shown in the Fig 8.4. Here, A1 < 0 and A2 > 0. Therefore, the area A bounded by the curve y = f (x), x-axis and the ordinates x = a and x = b is given
by A = |A1| + A2.

Fig 8.4
Example 1 Find the area enclosed by the circle x2 + y2 = a2.
Solution From Fig 8.5, the whole area enclosed by the given circle
= 4 (area of the region AOBA bounded by the curve, x-axis and the ordinates x = 0 and x = a) [as the circle is symmetrical about both x-axis and y-axis]
=
(taking vertical strips)
= 
Since x2 + y2 = a2 gives y = 

Fig 8.5
As the region AOBA lies in the first quadrant, y is taken as positive. Integrating, we get the whole area enclosed by the given circle
= 
=
= 
Alternatively, considering horizontal strips as shown in Fig 8.6, the whole area of the region enclosed by circle
=
=
(Why?)
= 
= 
= 

Fig 8.6
Example 2 Find the area enclosed by the ellipse
= 1
Solution From Fig 8.7, the area of the region ABA′B′A bounded by the ellipse
(as the ellipse is symmetrical about both x-axis and y-axis)
=
(taking vertical strips)
Now
= 1 gives
, but as the region AOBA lies in the first quadrant, y is taken as positive. So, the required area is
=
=
(Why?)
= 
= 

Fig 8.
Alternatively, considering horizontal strips as shown in the Fig 8.8, the area of the ellipse is
(Why?)
= 
= 
= 

Fig 8.8
8.2.1 The area of the region bounded by a curve and a line
In this subsection, we will find the area of the region bounded by a line and a circle, a line and a parabola, a line and an ellipse. Equations of above mentioned curves will be in their standard forms only as the cases in other forms go beyond the scope of this textbook.
Example 3 Find the area of the region bounded by the curve y = x2 and the line y = 4.
Solution Since the given curve represented by the equation y = x2 is a parabola symmetrical about y-axis only, therefore, from Fig 8.9, the required area of the region AOBA is given by

Fig 8.9
2( area of theregion BONB bounded by curve, y - axis and the lines y =0 and y = 4)
= (Why?)
Here, we have taken horizontal strips as indicated in the Fig 8.9.
Alternatively, we may consider the vertical strips like PQ as shown in the Fig 8.10 to obtain the area of the region AOBA. To this end, we solve the equations x2 = y and y = 4 which gives x = –2 and x = 2.
Thus, the region AOBA may be stated as the region bounded by the curve y = x2, y = 4 and the ordinates x = –2 and x = 2.

Fig 8.10
Therefore, the area of the region AOBA
= 
[y = (y-coordinate of Q) – (y-coordinate of P) = 4 – x2]
=
(Why?)
=


Remark From the above examples, it is inferred that we can consider either vertical strips or horizontal strips for calculating the area of the region. Henceforth, we shall consider either of these two, most preferably vertical strips.
Example 4 Find the area of the region in the first quadrant enclosed by the x-axis,
the line y = x, and the circle x2 + y2 = 32.
Solution The given equations are
y = x ... (1)
and x2 + y2 = 32 ... (2)

Fig 8.11
Solving (1) and (2), we find that the line and the circle meet at B(4, 4) in the first quadrant (Fig 8.11). Draw perpendicular BM to the x-axis.
Therefore, the required area = area of the region OBMO + area of the region BMAB.
Now, the area of the region OBMO
=
... (3)
=
= 8
Again, the area of the region BMAB
=
=
= 
= 
= 8π – (8 + 4π) = 4π – 8 ... (4)
Adding (3) and (4), we get, the required area = 4π.
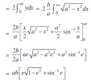
Example 5 Find the area bounded by the ellipse
and the ordinates x = 0 and x = ae, where, b2 = a2 (1 – e2) and e < 1.
Solution The required area (Fig 8.12) of the region BOB′RFSB is enclosed by the ellipse and the lines x = 0 and x = ae.
Note that the area of the region BOB′RFSB

Fig 8.12
EXERCISE 8.1
1. Find the area of the region bounded by the curve y2 = x and the lines x = 1, x = 4 and the x-axis in the first quadrant.
2. Find the area of the region bounded by y2 = 9x, x = 2, x = 4 and the x-axis in the first quadrant.
3. Find the area of the region bounded by x2 = 4y, y = 2, y = 4 and the y-axis in the first quadrant.
4. Find the area of the region bounded by the ellipse
.
5. Find the area of the region bounded by the ellipse
.
6. Find the area of the region in the first quadrant enclosed by x-axis, line x =
y and the circle x2 + y2 = 4.
7. Find the area of the smaller part of the circle x2 + y2 = a2 cut off by the line
.
8. The area between x = y2 and x = 4 is divided into two equal parts by the line x = a, find the value of a.
9. Find the area of the region bounded by the parabola y = x2 and y =
.
10. Find the area bounded by the curve x2 = 4y and the line x = 4y – 2.
11. Find the area of the region bounded by the curve y2 = 4x and the line x = 3.
Choose the correct answer in the following Exercises 12 and 13.
12. Area lying in the first quadrant and bounded by the circle x2 + y2 = 4 and the lines x = 0 and x = 2 is
(A) π (B)
(C)
(D) 
13. Area of the region bounded by the curve y2 = 4x, y-axis and the line y = 3 is
(A) 2 (B)
(C)
(D)
8.3 Area between Two curves
Intuitively, true in the sense of Leibnitz, integration is the act of calculating the area by cutting the region into a large number of small strips of elementary area and then adding up these elementary areas. Suppose we are given two curves represented by y = f (x), y = g (x), where f(x) ≥ g(x) in [a, b] as shown in Fig 8.13. Here the points of intersection of these two curves are given by x = a and x = b obtained by taking common values of y from the given equation of two curves.
For setting up a formula for the integral, it is convenient to take elementary area in the form of vertical strips. As indicated in the Fig 8.13, elementary strip has height
f(x) – g(x) and width dx so that the elementary area
dA = [f(x) – g(x)] dx, and the total area A can be taken as

and the total area A can be taken as
A = 
Alternatively,
A = [area bounded by y = f (x), x-axis and the lines x = a, x = b]
– [area bounded by y = g (x), x-axis and the lines x = a, x = b]
=
=
where f (x) ≥ g (x) in [a, b]
If f (x) ≥ g (x) in [a, c] and f (x) ≤ g (x) in [c, b], where a < c < b as shown in the Fig 8.14, then the area of the regions bounded by curves can be written as
Total Area = Area of the region ACBDA + Area of the region BPRQB
= 

Fig 8.14
Example 6 Find the area of the region bounded by the two parabolas y = x2 and y2 = x.
Solution The point of intersection of these two parabolas are O (0, 0) and A (1, 1) as shown in the Fig 8.15.

Fig 8.15
Here, we can set y2 = x or y =
= f(x) and y = x2 = g(x), where, f (x) ≥ g (x) in [0, 1].
Therefore, the required area of the shaded region
=
= 

= 
Example 7 Find the area lying above x-axis and included between the circle x2 + y2 = 8x and inside of the parabola y2 = 4x.
Solution The given equation of the circle x2 + y2 = 8x can be expressed as (x – 4)2 + y2 = 16. Thus, the centre of the circle is (4, 0) and radius is 4. Its intersection with the parabola y2 = 4x gives
x2 + 4x = 8x
or x2 – 4x = 0
or x (x – 4) = 0
or x = 0, x = 4

Fig 8.15
Thus, the points of intersection of these two curves are O(0,0) and P(4,4) above the x-axis.
From the Fig 8.16, the required area of the region OPQCO included between these two curves above x-axis is
= (area of the region OCPO) + (area of the region PCQP)
=
=
(Why?)
=
(Why?)
=
=
= 
Example 8 In Fig 8.17, AOBA is the part of the ellipse 9x2 + y2 = 36 in the first quadrant such that OA = 2 and OB = 6. Find the area between the arc AB and the chord AB.
Solution Given equation of the ellipse 9x2 + y2 = 36 can be expressed as
or
and hence, its shape is as given in Fig 8.17.

Accordingly, the equation of the chord AB is
y – 0 =
or y = – 3(x – 2)
or y = – 3x + 6
Area of the shaded region as shown in the Fig 8.17.
=
(Why?)
= 
= 
= 3π – 6
Example 9 Using integration find the area of region bounded by the triangle whose vertices are (1, 0), (2, 2) and (3, 1).
Solution Let A(1, 0), B(2, 2) and C(3, 1) be the vertices of a triangle ABC (Fig 8.18).
Area of ∆ABC
= Area of ∆ABD + Area of trapezium BDEC – Area of ∆AEC
Now equation of the sides AB, BC and CA are given by
y = 2(x – 1), y = 4 – x, y =
(x – 1), respectively.

Fig 8.18
Hence, area of ∆ ABC = 
= 
=
–
= 
Example 10 Find the area of the region enclosed between the two circles: x2 + y2 = 4 and (x – 2)2 + y2 = 4.
Solution Equations of the given circles are
x2 + y2 = 4 ... (1)
and (x – 2)2 + y2 = 4 ... (2)
Equation (1) is a circle with centre O at the origin and radius 2. Equation (2) is a circle with centre C (2, 0) and radius 2. Solving equations
(1) and (2), we have

Fig 8.19
(x –2)2 + y2 = x2 + y2
or x2 – 4x + 4 + y2 = x2 + y2
or x = 1 which gives y = 
Thus, the points of intersection of the given circles are A(1,
) and A′(1,
) as shown in the Fig 8.19.
Required area of the enclosed region OACA′O between circles
= 2 [area of the region ODCAO] (Why?)
= 2 [area of the region ODAO + area of the region DCAD]
= 
=
(Why?)
= 
+
= 
= 
= 
= 
= 
EXERCISE 8.2
1. Find the area of the circle 4x2 + 4y2 = 9 which is interior to the parabola x2 = 4y.
2. Find the area bounded by curves (x – 1)2 + y2 = 1 and x2 + y2 = 1.
3. Find the area of the region bounded by the curves y = x2 + 2, y = x, x = 0 and x = 3.
4. Using integration find the area of region bounded by the triangle whose vertices are (– 1, 0), (1, 3) and (3, 2).
5. Using integration find the area of the triangular region whose sides have the equations y = 2x + 1, y = 3x + 1 and x = 4.
Choose the correct answer in the following exercises 6 and 7.
6. Smaller area enclosed by the circle x2 + y2 = 4 and the line x + y = 2 is
(A) 2 (π – 2) (B) π – 2 (C) 2π – 1 (D) 2 (π + 2)
7. Area lying between the curves y2 = 4x and y = 2x is
(A)
(B)
(C)
(D) 
Miscellaneous Examples
Example 11 Find the area of the parabola y2 = 4ax bounded by its latus rectum.
Solution From Fig 8.20, the vertex of the parabola
y2 = 4ax is at origin (0, 0). The equation of the latus rectum LSL′ is x = a. Also, parabola is symmetrical about the x-axis.

Fig 8.20
The required area of the region OLL′O
= 2(area of the region OLSO)
=
= 
=
= 
=
= 
Example 12 Find the area of the region bounded by the line y = 3x + 2, the x-axis and the ordinates x = –1 and x = 1.
Solution As shown in the Fig 8.21, the line
y = 3x + 2 meets x-axis at x =
and its graph lies below x-axis for
and above
x-axis for
.

The required area = Area of the region ACBA + Area of the region ADEA
= 
=
=
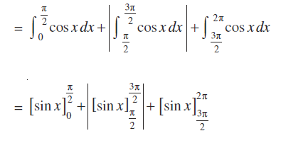
Example 13 Find the area bounded by the curve y = cosx between x = 0 and
x = 2π.
Solution From the Fig 8.22, the required area = area of the region OABO + area of the region BCDB + area of the region DEFD.
Thus, we have the required area

= 1 + 2 + 1 = 4
Example 13 Prove that the curves y2 = 4x and x2 = 4y divide the area of the square bounded by x = 0, x = 4, y = 4 and y = 0 into three equal parts.
Solution Note that the point of intersection of the parabolas y2 = 4x and x2 = 4y are (0, 0) and (4, 4) as shown in the Fig 8.23.

Fig 8.23
Now, the area of the region OAQBO bounded by curves y2 = 4x and x2 = 4y.
=
= 
=
... (1)
Again, the area of the region OPQAO bounded by the curves x2 = 4y, x = 0, x = 4 and x-axis
=
... (2)
Similarly, the area of the region OBQRO bounded by the curve y2 = 4x, y-axis,
y = 0 and y = 4
=
... (3)
From (1), (2) and (3), it is concluded that the area of the region OAQBO = area of the region OPQAO = area of the region OBQRO, i.e., area bounded by parabolas
y2 = 4x and x2 = 4y divides the area of the square in three equal parts.
Example 14 Find the area of the region
{(x, y) : 0 ≤ y ≤ x2 + 1, 0 ≤ y ≤ x + 1, 0 ≤ x ≤ 2}
Solution Let us first sketch the region whose area is to be found out. This region is the intersection of the following regions.
A1 = {(x, y) : 0 ≤ y ≤ x2 + 1},
A2 = {(x, y) : 0 ≤ y ≤ x + 1}
and A3 = {(x, y) : 0 ≤ x ≤ 2}
The points of intersection of y = x2 + 1 and y = x + 1 are points P(0, 1) and Q(1, 2). From the Fig 8.24, the required region is the shaded region OPQRSTO whose area

Fig 8.24
= area of the region OTQPO + area of the region TSRQT
=
(Why?)
= 
=
= 
Miscellaneous Exercise on Chapter 8
1. Find the area under the given curves and given lines:
(i) y = x2, x = 1, x = 2 and x-axis
(ii) y = x4, x = 1, x = 5 and x-axis
2. Find the area between the curves y = x and y = x2.
3. Find the area of the region lying in the first quadrant and bounded by y = 4x2, x = 0, y = 1 and y = 4.
4. Sketch the graph of y =
and evaluate
.
5. Find the area bounded by the curve y = sinx between x = 0 and x = 2π.
6. Find the area enclosed between the parabola y2 = 4ax and the line y = mx.
7. Find the area enclosed by the parabola 4y = 3x2 and the line 2y = 3x + 12.
8. Find the area of the smaller region bounded by the ellipse
and the line
.
9. Find the area of the smaller region bounded by the ellipse
and the line
.
10. Find the area of the region enclosed by the parabola x2 = y, the line y = x + 2 and the x-axis.
11. Using the method of integration find the area bounded by the curve
.
[Hint: The required region is bounded by lines x + y = 1, x– y = 1, – x + y = 1 and
– x – y = 1].
12. Find the area bounded by curves {(x, y) : y ≥ x2 and y = |x|}.
13. Using the method of integration find the area of the triangle ABC, coordinates of whose vertices are A(2, 0), B (4, 5) and C (6, 3).
14. Using the method of integration find the area of the region bounded by lines:
2x + y = 4, 3x – 2y = 6 and x – 3y + 5 = 0
15. Find the area of the region {(x, y) : y2 ≤ 4x, 4x2 + 4y2 ≤ 9}
Choose the correct answer in the following Exercises from 16 to 20.
16. Area bounded by the curve y = x3, the x-axis and the ordinates x = – 2 and x = 1 is
(A) – 9 (B)
(C)
(D) 
17. The area bounded by the curve y = x |x|, x-axis and the ordinates x = – 1 and x = 1 is given by
(A) 0 (B)
(C)
(D) 
[Hint : y = x2 if x > 0 and y = – x2 if x < 0].
18. The area of the circle x2 + y2 = 16 exterior to the parabola y2 = 6x is
(A)
(B)
(C)
(D) 
19. The area bounded by the y-axis, y = cos x and y = sin x when
is
(A)
(B)
(C)
(D) 
Summary
- The area of the region bounded by the curve y = f (x), x-axis and the lines x = a and x = b (b > a) is given by the formula:
. - The area of the region bounded by the curve x = φ (y), y-axis and the lines y = c, y = d is given by the formula:
. - The area of the region enclosed between two curves y = f (x), y = g (x) and the lines x = a, x = b is given by the formula,
, where, f (x) ≥ g (x) in [a, b] - If f (x) ≥ g (x) in [a, c] and f (x) ≤ g (x) in [c, b], a < c < b, then
.
Historical Note
The origin of the Integral Calculus goes back to the early period of development of mathematics and it is related to the method of exhaustion developed by the mathematicians of ancient Greece. This method arose in the solution of problems on calculating areas of plane figures, surface areas and volumes of solid bodies etc. In this sense, the method of exhaustion can be regarded as an early method of integration. The greatest development of method of exhaustion in the early period was obtained in the works of Eudoxus (440 B.C.) and Archimedes
(300 B.C.)
Systematic approach to the theory of Calculus began in the 17th century.
In 1665, Newton began his work on the Calculus described by him as the theory of fluxions and used his theory in finding the tangent and radius of curvature at any point on a curve. Newton introduced the basic notion of inverse function called the anti derivative (indefinite integral) or the inverse method of tangents.
During 1684-86, Leibnitz published an article in the Acta Eruditorum which he called Calculas summatorius, since it was connected with the summation of a number of infinitely small areas, whose sum, he indicated by the symbol ‘∫’. In 1696, he followed a suggestion made by J. Bernoulli and changed this article to Calculus integrali. This corresponded to Newton’s inverse method of tangents.
Both Newton and Leibnitz adopted quite independent lines of approach which was radically different. However, respective theories accomplished results that were practically identical. Leibnitz used the notion of definite integral and what is quite certain is that he first clearly appreciated tie up between the antiderivative and the definite integral.
Conclusively, the fundamental concepts and theory of integral calculus and primarily its relationships with Differential Calculus were developed in the work of P.de Fermat, I. Newton and G. Leibnitz at the end of 17th century. However, this justification by the concept of limit was only developed in the works of A.L. Cauchy in the early 19th century. Lastly, it is worth mentioning the following quotation by Lie Sophie’s:
“It may be said that the conceptions of differential quotient and integral which in their origin certainly go back to Archimedes were introduced in Science by the investigations of Kepler, Descartes, Cavalieri, Fermat and Wallis .... The discovery that differentiation and integration are inverse operations belongs to Newton
and Leibnitz”.
.
.
, where,
.