Table of Contents
vè;k; 10
lfn'k chtxf.kr (Vector Algebra)
In most sciences one generation tears down what another has built and what one has established another undoes. In Mathematics alone each generation builds a new story to the old structure. – Herman Hankel
10.1 Hkwfedk (Introduction)
vius nSfud thou esa gesa vusd iz'u feyrs gSa tSls fd vkidh Å¡pkbZ D;k gS\ ,d iqQVcky osQ f[kykM+h dks viuh gh Vhe osQ nwljs f[kykM+h osQ ikl xsan igq¡pkus osQ fy, xsan ij fdl izdkj izgkj djuk pkfg,\ voyksdu dhft, fd izFke iz'u dk laHkkfor mÙkj 1-6 ehVj gks ldrk gSA ;g ,d ,slh jkf'k gS ftlesa osQoy ,d eku ifjek.k tks ,d okLrfod la[;k gS] lfEefyr gSA ,slh jkf'k;k¡ vfn'k dgykrh gSA rFkkfi nwljs iz'u dk mÙkj ,d ,slh jkf'k gS (ftls cy dgrs gSa) ftlesa ekalisf'k;ksa dh 'kfDr ifjek.k osQ lkFk&lkFk fn'kk (ftlesa nwljk f[kykM+h fLFkr gS) Hkh lfEefyr gSA ,slh jkf'k;ka¡ lfn'k dgykrh gSA xf.kr] HkkSfrdh ,oa vfHk;kaf=kdh esa ;s nksuksa izdkj dh jkf'k;k¡ uker% vfn'k jkf'k;k¡] tSls fd yackbZ] nzO;eku] le;] nwjh] xfr] {ks=kiQy] vk;ru] rkieku] dk;Z] /u] oksYVrk] ?kuRo] izfrjks/d bR;kfn ,oa lfn'k jkf'k;k¡ tSls fd foLFkkiu] osx] Roj.k] cy] Hkkj] laosx] fo|qr {ks=k dh rhozrk bR;kfn cgq/k feyrh gaSA
bl vè;k; esa ge lfn'kksa dh oqQN vk/kjHkwr ladYiuk,¡] lfn'kksa dh fofHkUu lafØ;k,¡ vkSj buosQ chth; ,oa T;kferh; xq.k/eks± dk vè;;u djsaxsA bu nksuksa izdkj osQ xq.k/eks± dk lfEefyr :i lfn'kksa dh ladYiuk dk iw.kZ vuqHkwfr nsrk gS vkSj mi;qZDr p£pr {ks=kksa esa budh fo'kky mi;ksfxrk dh vksj izsfjr djrk gSA

W.R. Hamilton
(1805-1865)
10.2 oqQN vk/kjHkwr ladYiuk,¡ (Some Basic Concepts)
eku yhft, fd fdlh ry vFkok f=k&foeh; varfj{k esa l dksbZ ljy js[kk gSA rhj osQ fu'kkuksa dh lgk;rk ls bl js[kk dks nks fn'kk,¡ iznku dh tk ldrh gSaA bu nksuksa esa ls fuf'pr fn'kk okyh dksbZ Hkh ,d js[kk fn"V js[kk dgykrh gS [vko`Qfr 10.1 (i), (ii)]A
vc izsf{kr dhft, fd ;fn ge js[kk ‘l’ dks js[kk[kaM AB rd izfrcaf/r dj nsrs gSa rc nksuksa es ls fdlh ,d fn'kk okyh js[kk ‘l’ ij ifjek.k fu/kZfjr gks tkrk gSA bl izdkj gesa ,d fn"V js[kk[kaM izkIr gksrk gS (vko`Qfr 10.1(iii))A vr% ,d fn"V js[kk[kaM esa ifjek.k ,oa fn'kk nksuksa gksrs gSaA
vko`Qfr 10-1
ifjHkk"kk 1 ,d ,slh jkf'k ftlesa ifjek.k ,oa fn'kk nksuksa gksrs gSa] lfn'k dgykrh gSA
è;ku nhft, fd ,d fn"V js[kk[kaM lfn'k gksrk gS (vko`Qfr 10.1(iii)), ftls
vFkok
lk/kj.kr%
, osQ :i esa fufnZ"V djrs gSa vkSj bls lfn'k ^
* vFkok lfn'k ^
* osQ :i esa i<+rs gSaA
og ¯cnq A tgk¡ ls lfn'k
izkjaHk gksrk gS] izkjafHkd ¯cnq dgykrk gS vkSj og ¯cnq B tgk¡ ij lfn'k
, lekIr gksrk gS vafre ¯cnq dgykrk gSA fdlh lfn'k osQ izkjafHkd ,oa vafre ¯cnqvksa osQ chp dh nwjh lfn'k dk ifjek.k (vFkok yackbZ) dgykrk gS vkSj bls |
| vFkok |
| osQ :i esa fufnZ"V fd;k tkrk gSA rhj dk fu'kku lfn'k dh fn'kk dks fufnZ"V djrk gSA
fVIi.kh D;ksafd yackbZ dHkh Hkh ½.kkRed ugha gksrh gS blfy, laosQru |
| < 0 dk dksbZ vFkZ ugha gSA
fLFkfr lfn'k (Position Vector)
d{kk XI ls] f=k&foeh; nf{k.kkorhZ ledksf.kd funsZ'kkad i¼fr dks Lej.k dhft,
(vko`Qfr 10-2(i))A varfj{k esa ewy ¯cnq O(0, 0, 0) osQ lkis{k ,d ,slk ¯cnq P yhft, ftlosQ funsZ'kkad (x, y, z) gSA rc lfn'k
ftlesa O vkSj P Øe'k% izkjafHkd ,oa vafre ¯cnq gSa] O osQ

vko`Qfr 10-2
lkis{k ¯cnq P dk fLFkfr lfn'k dgykrk gSA nwjh lw=k (d{kk XI ls) dk mi;ksx djrs gq,
(vFkok
) dk ifjek.k fuEufyf[kr :i esa izkIr gksrk gS%
=
O;ogkj esa ewy ¯cnq O osQ lkis{k] ¯cnqvksa A, B, C bR;kfn osQ fLFkfr lfn'k Øe'k%
ls fufnZ"V fd, tkrs gaS [vko`Qfr 10.2(ii)]A
fno~Q&dkslkbu (Direction Cosines)
,d ¯cnq P(x, y, z) dk fLFkfr lfn'k
yhft, tSlk fd vko`Qfr 10-3 esa n'kkZ;k x;k gSA lfn'k
}kjk x, y ,oa z-v{k dh /ukRed fn'kkvksa osQ lkFk cuk, x, Øe'k% dks.k α, β, ,oa γ fn'kk dks.k dgykrs gSaA bu dks.kksa osQ dkslkbu eku vFkkZr~ cosα, cosβ ,oa cosγ lfn'k
osQ fno~Q&dkslkbu dgykrs gSa vkSj lkekU;r% budks Øe'k% l, m ,oa n ls fufnZ"V fd;k tkrk gSA
vko`Qfr 10-3
vko`Qfr 10.3, ls ge ns[krs gSa fd f=kHkqt OAP ,d ledks.k f=kHkqt gS vkSj bl f=kHkqt ls ge
izkIr djrs gSaA blh izdkj ledks.k f=kHkqtksa OBP ,oa OCP ls ge
fy[k ldrs gSaA bl izdkj ¯cnq P osQ funsZ'kkadksa dks (lr, mr, nr) osQ :i esa vfHkO;Dr fd;k tk ldrk gSA fno~Q&dkslkbu osQ lekuqikrh la[;k,¡ lr, mr ,oa nr lfn'k
osQ fno~Q&vuqikr dgykrs gSa vkSj budks Øe'k% a, b rFkk c ls fufnZ"V fd;k tkrk gSA
fVIi.kh ge uksV dj ldrs gSa fd l2 + m2 + n2 = 1 ijarq lkekU;r% a2 + b2 + c2 ≠ 1
10.3 lfn'kksa osQ izdkj (Types of Vectors)
'kwU; lfn'k [Zero (null) Vector] ,d lfn'k ftlosQ izkjafHkd ,oa vafre ¯cnq laikrh gksrs gSa] 'kwU; lfn'k dgykrk gS vkSj bls
osQ :i esa fufnZ"V fd;k tkrk gSA 'kwU; lfn'k dks dksbZ fuf'pr fn'kk iznku ugha dh tk ldrh D;ksafd bldk ifjek.k 'kwU; gksrk gS vFkok fodYir% bldks dksbZ Hkh fn'kk /kj.k fd, gq, ekuk tk ldrk gSA lfn'k
'kwU; lfn'k dks fu:fir djrs gSaA
ek=kd lfn'k (Unit Vector) ,d lfn'k ftldk ifjek.k ,d (vFkok 1 bdkbZ) gS ek=kd lfn'k dgykrk gSA fdlh fn, gq, lfn'k
dh fn'kk esa ek=kd lfn'k dks
ls fufnZ"V fd;k tkrk gSA
lg&vkfne lfn'k (Co-initial Vectors) nks vFkok vf/d lfn'k ftudk ,d gh izkjafHkd ¯cnq gS] lg vkfne lfn'k dgykrs gSaA
lajs[k lfn'k (Collinear Vectors) nks vFkok vf/d lfn'k ;fn ,d gh js[kk osQ lekarj gS rks os lajs[k lfn'k dgykrs gSaA
leku lfn'k (Equal Vectors) nks lfn'k
leku lfn'k dgykrs gSa ;fn muosQ ifjek.k ,oa fn'kk leku gSaA budks
osQ :i esa fy[kk tkrk gSA
½.kkRed lfn'k (Negative of a Vector) ,d lfn'k ftldk ifjek.k fn, gq, lfn'k (eku yhft,
) osQ leku gS ijarq ftldh fn'kk fn, gq, lfn'k dh fn'kk osQ foijhr gS] fn, gq, lfn'k dk ½.kkRed dgykrk gSA mnkgj.kr% lfn'k
, lfn'k
dk ½.kkRed gS vkSj bls
osQ :i esa fy[kk tkrk gSA
fVIi.kh mi;qZDr ifjHkkf"kr lfn'k bl izdkj gS fd muesa ls fdlh dks Hkh mlosQ ifjek.k ,oa fn'kk dks ifjofrZr fd, fcuk Lo;a osQ lekarj foLFkkfir fd;k tk ldrk gSA bl izdkj osQ lfn'k Lora=k lfn'k dgykrs gSaA bl iwjs vè;k; esa ge Lora=k lfn'kksa dh gh ppkZ djsaxsA
mnkgj.k 1 nf{k.k ls 30° if'pe esa] 40 km osQ foLFkkiu dk vkys[kh; fu:i.k dhft,A
gy lfn'k
vHkh"V foLFkkiu dks fu:fir djrk gS (vko`Qfr 10-4 nsf[k,)A
vko`Qfr 10-4
mnkgj.k 2 fuEufyf[kr ekiksa dks vfn'k ,oa lfn'k osQ :i esa Js.khc¼ dhft,A
(i) 5 s (ii) 1000 cm3 (iii) 10 N
(iv) 30 km/h (v) 10 g/cm3
(vi) 20 m/s mÙkj dh vksj
gy
(i) le;&vfn'k (ii) vk;ru&vfn'k (iii) cy&lfn'k
(iv) xfr&vfn'k (v) ?kuRo&vfn'k (vi) osx&lfn'k
mnkgj.k 3 vko`Qfr 10-5 esa dkSu ls lfn'k
vko`Qfr 10-5
(i) lajs[k gSa
(ii) leku gSa
(iii) lg&vkfne gSa
gy

iz'ukoyh 10-1
1. mÙkj ls 30° iwoZ esa 40 km osQ foLFkkiu dk vkys[kh; fu:i.k dhft,A
2. fuEufyf[kr ekikas dks vfn'k ,oa lfn'k osQ :i esa Js.khc¼ dhft,A
(i) 10 kg (ii) 2 ehVj mÙkj&if'pe (iii) 40°
(iv) 40 okV (v) 10–19 owQyac (vi) 20 m/s2
3. fuEufyf[kr dks vfn'k ,oa lfn'k jkf'k;ksa osQ :i esa Js.khc¼ dhft,A
(i) le; dkyka'k (ii) nwjh (iii) cy
(iv) osx (v) dk;Z
4. vko`Qfr 10-6 (,d oxZ) esa fuEufyf[kr lfn'kksa dks igpkfu,A
(i) lg&vkfne (ii) leku
(iii) lajs[k ijarq vleku
5. fuEufyf[kr dk mÙkj lR; vFkok vlR; osQ :i esa nhft,A
vko`Qfr 10-6
(i)
rFkk
lajs[k gSaA
(ii) nks lajs[k lfn'kksa dk ifjek.k lnSo leku gksrk gSA
(iii) leku ifjek.k okys nks lfn'k lajs[k gksrs gSaA
(iv) leku ifjek.k okys nks lajs[k lfn'k leku gksrs gSaA
10.4 lfn'kksa dk ;ksxiQy (Addition of Vectors)
lfn'k
ls lk/kj.kr% gekjk rkRi;Z gS ¯cnq A ls ¯cnq B rd foLFkkiuA vc ,d ,slh fLFkfr dh ppkZ dhft, ftlesa ,d yM+dh ¯cnq A ls ¯cnq B rd pyrh gS vkSj mlosQ ckn ¯cnq B ls ¯cnq C rd pyrh gS (vko`Qfr 10.7)A ¯cnq A ls ¯cnq C rd yM+dh }kjk fd;k x;k oqQy foLFkkiu lfn'k,
ls izkIr gksrk gS vkSj bls
=
osQ :i esa vfHkO;Dr fd;k tkrk gSA
;g lfn'k ;ksx dk f=kHkqt fu;e dgykrk gSA
vko`Qfr 10-7
lkekU;r%] ;fn gekjs ikl nks lfn'k
rFkk
gSa [vko`Qfr 10.8 (i)], rks mudk ;ksx Kkr djus osQ fy, mUgsa bl fLFkfr esa yk;k tkrk gS] rkfd ,d dk izkjafHkd ¯cnq nwljs osQ vafre ¯cnq osQ laikrh gks tk, [vko`Qfr 10.8(ii)]A
mnkgj.kr% vko`Qfr 10.8 (ii) esa] geus lfn'k
osQ ifjek.k ,oa fn'kk dks ifjofrZr fd, fcuk bl izdkj LFkkukarfjr fd;k gS rkfd bldk izkjafHkd ¯cnq]
osQ vafre ¯cnq osQ laikrh gS rc f=kHkqt ABC dh rhljh Hkqtk AC }kjk fu:fir lfn'k
gesa lfn'kksa
rFkk
dk ;ksx (vFkok ifj.kkeh) iznku djrk gS] vFkkZr~~ f=kHkqt ABC esa ge ikrs gSa fd
=
[vko`Qfr 10.8 (ii)]A
vko`Qfr 10-8
vc iqu% D;ksafd
, blfy, mi;qZDr lehdj.k ls ge ikrs gSa fd

bldk rkRi;Z ;g gS fd fdlh f=kHkqt dh Hkqtkvksa dks ;fn ,d Øe esa fy;k tk, rks ;g 'kwU; ifj.kkeh dh vksj izsfjr djrk gS D;ksafd izkjafHkd ,oa vafre ¯cnq laikrh gks tkrs gSa [vko`Qfr 10.8(iii)]A
vc ,d lfn'k
dh jpuk bl izdkj dhft, rkfd bldk ifjek.k lfn'k
, osQ ifjek.k osQ leku gks] ijarq bldh fn'kk
dh fn'kk osQ foijhr gks vko`Qfr 10-8(iii) vFkkZr~~
=
rc f=kHkqt fu;e dk vuqiz;ksx djrs gq, [vko`Qfr 10-8(iii)] ls ge ikrs gSa fd 
lfn'k
,
osQ varj dks fu:fir djrk gSA
vc fdlh unh osQ ,d fdukjs ls nwljs fdukjs rd ikuh osQ cgko dh fn'kk osQ yacor~~ tkus okyh ,d uko dh ppkZ djrs gSaA rc bl uko ij nks osx lfn'k dk;Z dj jgs gSa] ,d batu }kjk uko dks fn;k x;k osx vkSj nwljk unh osQ ikuh osQ cgko dk osxA bu nks osxksa osQ ;qxir izHkko ls uko okLro esa ,d fHkUu osx ls pyuk 'kq: djrh gSA bl uko dh izHkkoh xfr ,oa fn'kk (vFkkZr~~ ifj.kkeh osx) osQ ckjs esa ;FkkFkZ fopkj ykus osQ fy, gekjs ikl lfn'k ;ksxiQy dk fuEufyf[kr fu;e gSA
;fn gekjs ikl ,d lekarj prqHkqZt dh
nks layXu Hkqtkvksa ls fu:fir fd, tkus okys (ifjek.k ,oa fn'kk lfgr) nks lfn'k
gS (vko`Qfr 10-9) rc lekarj prqHkqZt dh bu nksuksa Hkqtkvksa osQ mHk;fu"B ¯cnq ls xqtjus okyk fod.kZ bu nksuksa lfn'kksa osQ ;ksx
dks ifjek.k ,oa fn'kk lfgr fu:fir djrk gSA ;g lfn'k ;ksx dk lekarj prqHkqZt fu;e dgykrk gSA
vko`Qfr 10-9
fVIi.kh f=kHkqt fu;e dk mi;ksx djrs gq, vko`Qfr 10-9 ls ge uksV dj ldrs gSa fd
tks fd lekarj prqHkqZt fu;e gSA vr% ge dg ldrs gaS fd lfn'k ;ksx osQ nks fu;e ,d nwljs osQ lerqY; gSaA
lfn'k ;ksxiQy osQ xq.k/eZ (Properties of vector addition)
xq.k/eZ 1 nks lfn'kksa
osQ fy,
=
(Øefofue;rk)
miifÙk lekarj prqHkqZt ABCD dks yhft, (vko`Qfr 10-10) eku yhft,
rc f=kHkqt ABC esa f=kHkqt fu;e dk mi;ksx djrs gq, ge ikrs gSa fd
= 
vc] D;ksafd lekarj prqHkqZt dh lEeq[k Hkqtk,¡ leku ,oa lekarj gS] blfy, vko`Qfr 10-10 esa
gSA iqu% f=kHkqt ADC esa f=kHkqt fu;e osQ iz;ksx ls
= 
vr%
= 
vko`Qfr 10-10
xq.k/eZ 2 rhu lfn'kksa
osQ fy,
(lkgp;Z xq.k)
miifÙk eku yhft,] lfn'kksa
dks Øe'k%
ls fu:fir fd;k x;k gS tSlk fd vko`Qfr 10.11(i) vkSj (ii) esa n'kkZ;k x;k gSA

vko`Qfr 10-11
rc 
vkSj
blfy,
vkSj
vr%
dk ;ksxiQy dks"Bdksa dk mi;ksx fd, fcuk
osQ :i esa fy[krs gSaA uksV dhft, fd fdlh lfn'k
osQ fy, ge ikrs gSa%

;gk¡ 'kwU; lfn'k
lfn'k ;ksxiQy osQ fy, ;ksT; loZlfedk dgykrk gSA
10.5 ,d vfn'k ls lfn'k dk xq.ku (Multiplication of a Vector by a Scalar)
eku yhft, fd
,d fn;k gqvk lfn'k gS vkSj λ ,d vfn'k gSA rc lfn'k
dk vfn'k λ, ls xq.kuiQy ftls λ
osQ :i esa fufnZ"V fd;k tkrk gS] lfn'k
dk vfn'k λ ls xq.ku dgykrk gSA uksV dhft, fd λ
Hkh lfn'k
osQ lajs[k ,d lfn'k gSA λ osQ eku /ukRed vFkok ½.kkRed gksus osQ vuqlkj λ
dh fn'kk]
osQ leku vFkok foijhr gksrh gSA λ
dk ifjek.k
osQ ifjek.k dk |λ| xq.kk gksrk gS] vFkkZr~~

,d vfn'k ls lfn'k osQ xq.ku dk T;kferh; pk{kq"khdj.k [:i dh dYiuk (visualisation)] vko`Qfr 10-12 esa nh xbZ gSA
tc λ = – 1, rc
tks ,d ,slk lfn'k gS ftldk ifjek.k
osQ leku gS vkSj fn'kk
dh fn'kk osQ foijhr gSA lfn'k –
lfn'k
dk ½.kkRed (vFkok ;ksT; izfrykse)dgykrk gS vkSj ge ges'kk 
vkSj ;fn
, fn;k gqvk gS fd
,d 'kwU; lfn'k ugha gS rc

vko`Qfr 10-12
bl izdkj λ
,
dh fn'kk esa ek=kd lfn'k dks fu:fir djrk gSA ge bls
=
osQ :i esa fy[krs gSaA
fVIi.kh fdlh Hkh vfn'k k osQ fy, 
10.5.1 ,d lfn'k osQ ?kVd (Components of a vector)
vkbZ, ¯cnqvksa A(1, 0, 0), B(0, 1, 0) vkSj C(0, 0, 1) dks Øe'k% x-v{k, y-v{k ,oa z-v{k ij ysrs gSaA rc Li"Vr%

lfn'k
ftuesa ls izR;sd dk ifjek.k 1 gSa Øe'k% OX, OY vkSj OZ v{kksa osQ vuqfn'k ek=kd lfn'k dgykrs gSa vkSj budks Øe'k%
}kjk fufnZ"V fd;k tkrk gS (vko`Qfr 10-13)A
vko`Qfr 10-13
vc ,d ¯cnq P(x, y, z) dk fLFkfr lfn'k
yhft, tSlk fd vko`Qfr 10-14 esa n'kkZ;k x;k gSA eku yhft, fd ¯cnq P1 ls ry XOY ij [khaps x, yac dk ikn ¯cnq P1 gSA bl izdkj ge ns[krs gSa fd P1 P, z-v{k osQ lekarj gSA D;ksafd
Øe'k% x, y ,oa z-v{kosQ vuqfn'k ek=kd lfn'k gS vkSj P osQ funsZ'kkadksa dh ifjHkk"kk osQ vuqlkj ge ikrs gSa fd
. blh izdkj
. bl izdkj ge ikrs gSa fd

vkSj
bl izdkj O osQ lkis{k P dk fLFkfr lfn'k
osQ :i esa izkIr gksrk gSA
fdlh Hkh lfn'k dk ;g :i ?kVd :i dgykrk gSA ;gk¡ x, y ,oa z,
osQ vfn'k ?kVd dgykrs gSa vkSj
Øekxr v{kksa osQ vuqfn'k
osQ lfn'k ?kVd dgykrs gSaA dHkh&dHkh x, y ,oa z dks ledksf.kd ?kVd Hkh dgk tkrk gSA
fdlh lfn'k
, dh yackbZ ikbFkkxksjl izes; dk nks ckj iz;ksx djosQ rqjar Kkr dh tk ldrh gSA ge uksV djrs gSa fd ledks.k f=kHkqt OQP1 esa (vko`Qfr 10.14)

vko`Qfr 10-14

vkSj ledks.k f=kHkqt OP1P, esa ge ikrs gSa fd

vr% fdlh lfn'k
osQ :i esa izkIr gksrh gSA
;fn nks lfn'k
?kVd :i esa Øe'k%
vkSj
}kjk fn, x, gSa rks
(i) lfn'kksa
dks ;ksx
osQ :i esa izkIr gksrk gSA
(ii) lfn'k
dk varj
osQ :i esa izkIr gksrk gSA
(iii) lfn'k
leku gksrs gSa ;fn vkSj osQoy ;fn
a1 = b1, a2 = b2 vkSj a3 = b3
(iv) fdlh vfn'k λ ls lfn'k
dk xq.ku
=
}kjk iznÙk gSA
lfn'kksa dk ;ksxiQy vkSj fdlh vfn'k ls lfn'k dk xq.ku lfEefyr :i esa fuEufyf[kr forj.k&fu;e ls feyrk gS
eku yhft, fd
dksbZ nks lfn'k gSa vkSj k ,oa m nks vfn'k gSa rc

fVIi.kh
1. vki izsf{kr dj ldrs gSa fd λ osQ fdlh Hkh eku osQ fy, lfn'k
ges'kk lfn'k
osQ lajs[k gSA okLro esa nks lfn'k
lajs[k rHkh gksrs gSa ;fn vkSj osQoy ;fn ,d ,sls 'kwU;srj vfn'k λ dk vfLrRo gSa rkfd
gksA ;fn lfn'k
?kVd :i esa fn, gq, gSa] vFkkZr~~
rc nks lfn'k lajs[k gksrs gSa ;fn vkSj osQoy ;fn
= 
⇔
= 
⇔
, 
⇔
= 
2. ;fn
=
rc a1, a2, a3 lfn'k
osQ fno~Q&vuqikr dgykrs gSaA
3. ;fn l, m, n fdlh lfn'k osQ fno~Q&dkslkbu gSa rc
= 
fn, gq, lfn'k dh fn'kk esa ek=kd lfn'k gS tgk¡ α, β ,oa γ fn, gq, lfn'k }kjk Øe'k% x, y ,oa z v{k osQ lkFk cuk, x, dks.k gSaA
mnkgj.k 4 x, y vkSj z osQ eku Kkr dhft, rkfd lfn'k
leku gSaA
gy è;ku nhft, fd nks lfn'k leku gksrs gSa ;fn vkSj osQoy ;fn muosQ laxr ?kVd leku gSA vr% fn, gq, lfn'k
leku gksaxs ;fn vkSj osQoy ;fn x = 2, y = 2, z = 1
mnkgj.k 5 eku yhft,
gS? D;k lfn'k
leku gSa\
gy ;gk¡ 
blfy,
ijarq fn, gq, lfn'k leku ugha gSa D;ksafd buosQ laxr ?kVd fHkUu gSaA
mnkgj.k 6 lfn'k
osQ vuqfn'k ek=kd lfn'k Kkr dhft,A
gy lfn'k
osQ vuqfn'k ek=kd lfn'k
}kjk izkIr gksrk gSA
vc
= 
blfy,
= 
mnkgj.k 7 lfn'k
osQ vuqfn'k ,d ,slk lfn'k Kkr dhft, ftldk ifjek.k 7 bdkbZ gSA
gy fn, gq, lfn'k
osQ vuqfn'k ek=kd lfn'k
=
gSA
blfy,
osQ vuqfn'k vkSj 7 ifjek.k okyk lfn'k
=
=
gSA
mnkgj.k 8 lfn'kksa
osQ ;ksxiQy osQ vuqfn'k ek=kd lfn'k Kkr dhft,A
gy fn, gq, lfn'kksa dk ;ksxiQy

vkSj
= 
vr% vHkh"V ek=kd lfn'k
gSA
mnkgj.k 9 lfn'k
osQ fno~Q&vuqikr fyf[k, vkSj bldh lgk;rk ls fno~Q&dkslkbu Kkr dhft,A
gy è;ku nhft, fd lfn'k
osQ fno~Q&vuqikr a, b, c lfn'k osQ] Øekxr ?kVd x, y, z gksrs gSaA blfy, fn, gq, lfn'k osQ fy, ge ikrs gSa fd a = 1, b = 1 vkSj c = –2 gSA iqu% ;fn l, m vkSj n fn, gq, lfn'k osQ fno~Q&dkslkbu gSa rks%

vr% fno~Q&dkslkbu
gSaA
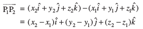
10.5.2 nks ¯cnqvksa dks feykus okyk lfn'k (Vector joining two points)
;fn P1(x1, y1, z1) vkSj P2(x2, y2, z2) nks ¯cnq gSa rc P1 dks P2 ls feykus okyk lfn'k
gS (vko`Qfr 10-15)A P1 vkSj P2 dks ewy ¯cnq O ls feykus ij vkSj f=kHkqt fu;e dk iz;ksx djus ij ge f=kHkqt OP1P2 ls ikrs gSa fd 
lfn'k ;ksxiQy osQ xq.k/eks± dk mi;ksx djrs gq, mi;qZDr lehdj.k fuEufyf[kr :i ls fy[kk tkrk gSA

vFkkZr~~
lfn'k
dk ifjek.k
osQ :i esa izkIr gksrk gSA
vko`Qfr 10-15
mnkgj.k10 ¯cnqvksa P(2, 3, 0) ,oa Q(– 1, – 2, – 4) dks feykus okyk ,oa P ls Q dh rjiQ fn"V lfn'k Kkr dhft,A
gy D;ksafd lfn'k P ls Q dh rjiQ fn"V gS] Li"Vr% P izkjafHkd ¯cnq gS vkSj Q vafre ¯cnq gS] blfy, P vkSj Q dks feykus okyk vHkh"V lfn'k ,
fuEufyf[kr :i esa izkIr gksrk gSA

vFkkZr~~ 
10.5.3 [kaM lw=k (Section Formula)
eku yhft, ewy ¯cnq O osQ lkis{k P vkSj Q nks ¯cnq gSa ftudks fLFkfr lfn'k
ls fu:fir fd;k x;k gSA ¯cnqvksa P ,oa Q dks feykus okyk js[kk [kaM fdlh rhljs ¯cnq R }kjk nks izdkj ls foHkkftr fd;k tk ldrk gSA var% (vko`Qfr 10-16) ,oa cká (vko`Qfr 10-17)A ;gk¡ gekjk mn~ns'; ewy ¯cnq O osQ lkis{k ¯cnq R dk fLFkfr lfn'k
Kkr djuk gSA ge nksuksa fLFkfr;ksa dks ,d&,d djosQ ysrs gSaA
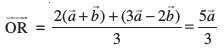
fLFkfr 1 tc R, PQ dks var% foHkkftr djrk gS (vko`Qfr 10-16)A ;fn R,
dks bl izdkj foHkkftr djrk gS fd
,tgk¡ m vkSj n /ukRed vfn'k gSa rks ge dgrs gSa fd ¯cnq R,
dks m : n osQ vuqikr esa var% foHkkftr djrk gSA vc f=kHkqtksa ORQ ,oa OPR ls

vkSj
blfy,
=
(D;ksa\)
vFkok
=
(ljy djus ij)
vr% ¯cnq R tks fd P vkSj Q dks m : n osQ vuqikr esa var% foHkkftr djrk gS dk fLFkfr lfn'k
vko`Qfr 10-16

fLFkfr II tc R, PQ dks cká foHkkftr djrk gS (vko`Qfr 10-17)A ;g lR;kiu djuk ge ikBd osQ fy, ,d iz'u osQ :i esa NksM+rs gSa fd js[kk[kaM PQ dks m : n osQ vuqikr esa cká foHkkftr djus okys ¯cnq R
dk fLFkfr lfn'k
=
osQ :i esa izkIr gksrk gSA
fVIi.kh ;fn R, PQ dk eè; ¯cnq gS rks m = n vkSj blfy, fLFkfr i ls
osQ eè; ¯cnq R dk fLFkfr lfn'k
=
osQ :i esa gksxkA
mnkgj.k 11 nks ¯cnq P vkSj Q yhft, ftuosQ fLFkfr lfn'k
gSaA ,d ,sls ¯cnq R dk fLFkfr lfn'k Kkr dhft, tks P ,oa Q dks feykus okyh js[kk dks 2:1 osQ vuqikr esa (i) var% (ii) cká foHkkftr djrk gSA
vko`Qfr 10-17
gy
(i) P vkSj Q dks feykus okyh js[kk dks 2:1 osQ vuqikr esa var% foHkkftr djus okys ¯cnq R dk fLFkfr lfn'k gS%

(ii) P vkSj Q dks feykus okyh js[kk dks 2:1 osQ vuqikr esa cká foHkkftr djus okys ¯cnq R dk fLFkfr lfn'k gS%
mnkgj.k 12 n'kkZb, fd ¯cnq
,d ledks.k f=kHkqt osQ 'kh"kZ gSaA
gy ge ikrs gSa fd
= 

= 

vkSj
=

blosQ vfrfjDr è;ku nhft, fd

vr% fn;k gqvk f=kHkqt ,d ledks.k f=kHkqt gSA
iz'ukoyh 10-2
1. fuEufyf[kr lfn'kksa osQ ifjek.k dk ifjdyu dhft,%

2. leku ifjek.k okys nks fofHkUu lfn'k fyf[k,A
3. leku fn'kk okys nks fofHkUu lfn'k fyf[k,A
4. x vkSj y osQ eku Kkr dhft, rkfd lfn'k
leku gksaA
5. ,d lfn'k dk izkjafHkd ¯cnq (2] 1) gS vkSj vafre ¯cnq (&5] 7) gSA bl lfn'k osQ vfn'k ,oa lfn'k ?kVd Kkr dhft,A
6. lfn'k
dk ;ksxiQy Kkr dhft,A
7. lfn'k
osQ vuqfn'k ,d ek=kd lfn'k Kkr dhft,A
8. lfn'k
osQ vuqfn'k ek=kd lfn'k Kkr dhft, tgk¡ ¯cnq P vkSj Q Øe'k% (1] 2] 3) vkSj (4] 5] 6) gSaA
9. fn, gq, lfn'kksa
osQ vuqfn'k ek=kd lfn'k Kkr dhft,A
10. lfn'k
osQ vuqfn'k ,d ,slk lfn'k Kkr dhft, ftldk ifjek.k 8 bdkbZ gSA
11. n'kkZb, fd lfn'k
lajs[k gSaA
12. lfn'k
dh fno~Q cosine Kkr dhft,A
13. ¯cnqvksa A(1, 2, –3) ,oa B(–1, –2, 1) dks feykus okys ,oa A ls B dh rji+Q fn"V lfn'k dh fno~Q cosine Kkr dhft,A
14. n'kkZb, fd lfn'k
v{kksa OX, OY ,oa OZ osQ lkFk cjkcj >qdk gqvk gSA
15. ¯cnqvksa P (
dks feykus okyh js[kk dks 2%1 osQ vuqikr esas (i) var% (ii) cká] foHkkftr djus okys ¯cnq R dk fLFkfr lfn'k Kkr dhft,A
16. nks ¯cnqvksa P(2, 3, 4) vkSj Q(4, 1, –2) dks feykus okys lfn'k dk eè; ¯cnq Kkr dhft,A
17. n'kkZb, fd ¯cnq A, B vkSj C, ftuosQ fLFkfr lfn'k Øe'k%
vkSj
gSa] ,d ledks.k f=kHkqt osQ 'kh"kks± dk fuekZ.k djrs gSaA
18. f=kHkqt ABC (vko`Qfr 10.18), osQ fy, fuEufyf[kr esa ls dkSu lk dFku lR; ugha gSA

vko`Qfr 10-18




19. ;fn
nks lajs[k lfn'k gSa rks fuEufyf[kr esa ls dkSu lk dFku lgh ugha gS%

10.6 nks lfn'kksa dk xq.kuiQy (Product of Two Vectors)
vHkh rd geus lfn'kksa osQ ;ksxiQy ,oa O;odyu osQ ckjs esa vè;;u fd;k gSA vc gekjk mn~ns'; lfn'kksa dk xq.kuiQy uked ,d nwljh chth; lafØ;k dh ppkZ djuk gSA ge Lej.k dj ldrs gSa fd nks la[;kvksa dk xq.kuiQy ,d la[;k gksrh gS] nks vkO;wgksa dk xq.kuiQy ,d vkO;wg gksrk gS ijarq iQyuksa dh fLFkfr esa ge mUgsa nks izdkj ls xq.kk dj ldrs gSa uker% nks iQyuksa dk ¯cnqokj xq.ku ,oa nks iQyuksa dk la;kstuA blh izdkj lfn'kksa dk xq.ku Hkh nks rjhosQ ls ifjHkkf"kr fd;k tkrk gSA uker% vfn'k xq.kuiQy tgk¡ ifj.kke ,d vfn'k gksrk gS vkSj lfn'k xq.kuiQy tgk¡ ifj.kke ,d lfn'k gksrk gSA lfn'kksa osQ bu nks izdkj osQ xq.kuiQyksa osQ vk/kj ij T;kferh] ;kaf=kdh ,oa vfHk;kaf=kdh esa buosQ fofHkUu vuqiz;ksx gSaA bl ifjPNsn esa ge bu nks izdkj osQ xq.kuiQyksa dh ppkZ djsaxsA
10.6.1 nks lfn'kksa dk vfn'k xq.kuiQy [Scalar (or dot) product of two vectors]
ifjHkk"kk 2 nks 'kwU;srj lfn'kksa
dk vfn'k xq.kuiQy
}kjk fufnZ"V fd;k tkrk gS vkSj bls
=
osQ :i es ifjHkkf"kr fd;k tkrk gSA
tgk¡ θ,
(vko`Qfr 10-19)A
;fn
rks θ ifjHkkf"kr ugha gS vkSj bl fLFkfr eas ge
ifjHkkf"kr djrs gSaA
izs{k.k
1.
,d okLrfod la[;k gSA
2. eku yhft, fd
nks 'kwU;srj lfn'k gSa rc
;fn vkSj osQoy ;fn
ijLij yacor~~ gSa vFkkZr~~ 
3.
4. ;fn θ = π, rc 
fof'k"Vr%
, tSlk fd bl fLFkfr esa θ, π osQ cjkcj gSA
5. isz{k.k 2 ,oa 3 osQ lanHkZ esa ijLij yacor~ ek=kd lfn'kksa
osQ fy, ge ikrs gSa fd
vko`Qfr 10-19
= 
rFkk
= 
6. nks 'kwU;srj lfn'kksa
osQ chp dk dks.k θ,

7. vfn'k xq.kuiQy Øe fofues; gS vFkkZr~~
(D;ksa?)
vfn'k xq.kuiQy osQ nks egRoiw.kZ xq.k/eZ (Two important properties of scalar product)
xq.k/eZ 1 (vfn'k xq.kuiQy dh ;ksxiQy ij forj.k fu;e) eku yhft,
rhu lfn'k gSa rc
= 
xq.k/eZ 2 eku yhft,
nks lfn'k gSa vkSj λ ,d vfn'k gS] rks

;fn nks lfn'k ?kVd :i esa
,oa
, fn, gq, gSa rc mudk vfn'k xq.kuiQy fuEufyf[kr :i esa izkIr gksrk gS
= 
=
+
= 
+
(mi;qZDr xq.k/eZ 1 vkSj 2 dk mi;ksx djus ij)
= a1b1 + a2b2 + a3b3 (iz{ks.k 5 dk mi;ksx djus ij)
bl izdkj
= 
10.6.2 ,d lfn'k dk fdlh js[kk ij lkFk iz{ksi (Projection of a vector on a line)
eku yhft, fd ,d lfn'k
fdlh fn"V js[kk l (eku yhft,) osQ lkFk okekorZ fn'kk esa θ dks.k cukrk gSA (vko`Qfr 10-20 nsf[k,) rc
dk l ij iz{ksi ,d lfn'k
(eku yhft,) gS ftldk ifjek.k
gS vkSj ftldh fn'kk dk l dh fn'kk osQ leku vFkok foijhr gksuk bl ckr ij fuHkZj gS fd
/ukRed gS vFkok ½.kkRedA lfn'k
dks iz{ksi lfn'k dgrs gSa vkSj bldk ifjek.k |
|, fu£n"V js[kk l ij lfn'k
dk iz{ksi dgykrk gSA mnkgj.kr% fuEufyf[kr esa ls izR;sd vko`Qfr esa lfn'k
dk js[kk l ij iz{ksi lfn'k
gSA [vko`Qfr 10.20 (i) ls (iv) rd]

vko`Qfr 10-20
izs{k.k
1. js[kk l osQ vuqfn'k ;fn
ek=kd lfn'k gS rks js[kk l ij lfn'k
dk iz{ksi
ls izkIr gksrk gSA
2. ,d lfn'k
dk nwljs lfn'k
, ij iz{ksi
vFkok
ls izkIr gksrk gSA
3- ;fn θ = 0, rks
dk iz{ksi lfn'k Lo;a
gksxk vkSj ;fn θ = π rks
dk iz{ksi lfn'k
gksxkA
4- ;fn
vFkok
rks
dk iz{ksi lfn'k 'kwU; lfn'k gksxkA
fVIi.kh ;fn α, β vkSj γ lfn'k
osQ fno~Q&dks.k gSa rks bldh fno~Q&dkslkbu fuEufyf[kr :i esa izkIr dh tk ldrh gSA

;g Hkh è;ku nhft, fd
Øe'k% OX, OY rFkk OZ osQ vuqfn'k
osQ iz{ksi gSa vFkkZr~~ lfn'k
osQ vfn'k ?kVd a1, a2 vkSj a3 Øe'k% x, y, ,oa z v{k osQ vuqfn'k
osQ iz{ksi gSA blosQ vfrfjDr ;fn
,d ek=kd lfn'k gS rc bldks fno~Q&dkslkbu dh lgk;rk ls

osQ :i esa vfHkO;Dr fd;k tk ldrk gSA
mnkgj.k 13 nks lfn'kksa
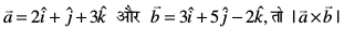
osQ ifjek.k Øe'k% 1 vkSj 2 gS rFkk
, bu lfn'kksa osQ chp dk dks.k Kkr dhft,A
gy fn;k gqvk gS
. vr%

mnkgj.k 14 lfn'k
osQ chp dk dks.k Kkr dhft,A
gy nks lfn'kksa
osQ chp dk dks.k θ fuEu }kjk iznÙk gS
ls izkIr gksrk gSA
vc
= 
blfy,] ge ikrs gSa fd cosθ = 
vr% vHkh"V dks.k θ =
gSA
mnkgj.k 15 ;fn
vkSj
yacor~ gSA
gy ge tkurs gSa fd nks 'kwU;srj lfn'k yacor~~ gksrs gSa ;fn mudk vfn'k xq.kuiQy 'kwU; gSA

mnkgj.k 16 lfn'k
dk] lfn'k
ij iz{ksi Kkr dhft,A
gy lfn'k
dk lfn'k
ij iz{ksi
=
gSA
mnkgj.k 17 ;fn nks lfn'k
bl izdkj gSa fd
Kkr dhft,A
gy ge ikrs gSa fd

mnkgj.k 18 ;fn
,d ek=kd lfn'k gS vkSj
Kkr dhft,A
gy D;ksafd
,d ek=kd lfn'k gS] blfy,
;g Hkh fn;k gqvk gS fd

mnkgj.k 19 nks lfn'kksa
, osQ fy, lnSo
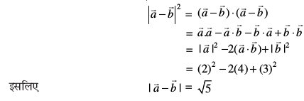
(Cauchy-Schwartz vlfedk)A
gy nh gqbZ vlfedk lgt :i esa Li"V gS ;fn
okLro esa bl fLFkfr esa ge ikrs gSa fd
. blfy, ge dYiuk djrs gSa fd
rc gesa
feyrk gSA
blfy,
mnkgj.k 20 nks lfn'kksa
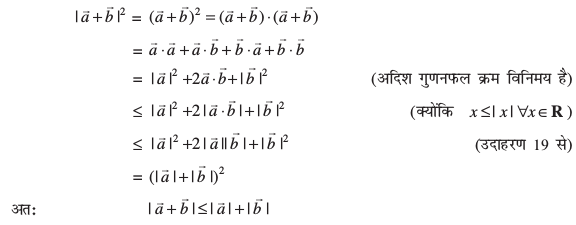
(f=kHkqt&vlfedk)
gy nh gqbZ vlfedk] nksuksa fLFkfr;ksa
esa lgt :i ls Li"V gS (D;ksa ?)A blfy, eku yhft, fd
rc

vko`Qfr 10-21
fVIi.kh ;fn f=kHkqt&vlfedk esa lfedk /kj.k gksrh gS (mi;qZDr mnkgj.k 20 esa) vFkkZr~~
=
, rc

¯cnq A, B vkSj C lajs[k n'kkZrk gSA
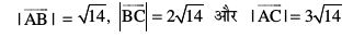
mnkgj.k 21 n'kkZb, fd ¯cnq
vkSj
lajs[k gSA
gy ge izkIr djrs gSa%
=
=
=

blfy,
=
vr% ¯cnq A, B vkSj C lajs[k gSaA
fVIi.kh mnkgj.k 21 esa è;ku nhft, fd
ijarq fiQj Hkh ¯cnq A, B vkSj C f=kHkqt osQ 'kh"kks± dk fuekZ.k ugha djrs gSaA
iz'ukoyh 10-3
1. nks lfn'kksa
osQ chp dk dks.k Kkr dhft,A
2. lfn'kksa
osQ chp dk dks.k Kkr dhft,A
3. lfn'k
ij lfn'k
dk iz{ksi Kkr dhft,A
4. lfn'k
dk] lfn'k
ij iz{ksi Kkr dhft,A
5. n'kkZb, fd fn, gq, fuEufyf[kr rhu lfn'kksa esa ls izR;sd ek=kd lfn'k gS]

;g Hkh n'kkZb, fd ;s lfn'k ijLij ,d nwljs osQ yacor~ gSaA
6. ;fn
Kkr dhft,A
7.
dk eku Kkr dhft,A
8. nks lfn'kksa
osQ ifjek.k Kkr dhft,] ;fn buosQ ifjek.k leku gS vkSj bu osQ chp dk dks.k 60° gS rFkk budk vfn'k xq.kuiQy
gSA
9. ;fn ,d ek=kd lfn'k
Kkr dhft,A
10. ;fn
ij yac gS] rks λ dk eku Kkr dhft,A
11. n'kkZb, fd nks 'kwU;srj lfn'kksa
osQ fy,
ij yac gSA
12. ;fn
, rks lfn'k
osQ ckjs esa D;k fu"d"kZ fudkyk tk ldrk gS?
13. ;fn
dk eku Kkr dhft,A
14. ;fn
ijarq foykse dk lR; gksuk vko';d ugha gSA ,d mnkgj.k }kjk vius mÙkj dh iqf"V dhft,A
15. ;fn fdlh f=kHkqt ABC osQ 'kh"kZ A, B, C Øe'k% (1, 2, 3), (–1, 0, 0), (0, 1, 2) gSa rks ∠ABC Kkr dhft,A [∠ABC, lfn'kksa
,oa
osQ chp dk dks.k gS]
16. n'kkZb, fd ¯cnq A(1, 2, 7), B(2, 6, 3) vkSj C(3, 10, –1) lajs[k gSaA
17. n'kkZb, fd lfn'k
,d ledks.k f=kHkqt osQ 'kh"kks± dh jpuk djrs gSaA
18. ;fn 'kwU;srj lfn'k
dk ifjek.k ‘a’ gS vkSj λ ,d 'kwU;rsj vfn'k gS rks λ
,d ek=kd lfn'k gS ;fn
(A) λ = 1 (B) λ = – 1 (C) a = |λ| (D) a = 1/|λ|
10.6.3 nks lfn'kksa dk lfn'k xq.kuiQy [Vector (or cross) product of two vectors]
ifjPNsn 10-2 esa geus f=k&foeh; nf{k.kkorhZ ledksf.kd funsZ'kkad i¼fr dh ppkZ dh FkhA bl i¼fr esa /ukRed x-v{k dks okekorZ ?kqekdj /ukRed y-v{k ij yk;k tkrk gS rks /ukRed z-v{k dh fn'kk esa ,d nf{k.kkorhZ (izkekf.kd) isap vxzxr gks tkrh gS [vko`Qfr 10.22(i)]A
,d nf{k.kkorhZ funsZ'kkad i¼fr esa tc nk,¡ gkFk dh m¡xfy;ksa dks /ukRed x-v{k dh fn'kk ls nwj /ukRed y-v{k dh rji+Q oqaQry fd;k tkrk gS rks v¡xwBk /ukRed z-v{k dh vksj laosQr djrk [vko`Qfr 10-22 (ii)] gSA

vko`Qfr 10-22
ifjHkk"kk 3 nks 'kwU;srj lfn'kksa
, dk lfn'k xq.kuiQy
ls fufnZ"V fd;k tkrk gS vkSj
=
osQ :i esa ifjHkkf"kr fd;k tkrk gS tgk¡ θ,
osQ chp dk dks.k gS vkSj
gSA ;gk¡
,d ek=kd lfn'k gS tks fd lfn'k
, nksuksa ij yac gSA bl izdkj
,d nf{k.kkorhZ i¼fr dks fufeZr djrs gSa (vko`Qfr 10-23) vFkkZr~~ nf{k.kkorhZ i¼fr dks
dh rji+Q ?kqekus ij ;g
dh fn'kk esa pyrh gSA
;fn
rc θ ifjHkkf"kr ugha gS vkSj bl fLFkfr eas ge
ifjHkkf"kr djrs gSaA
izs{k.k%
1.
,d lfn'k gSA
2. eku yhft,
nks 'kwU;srj lfn'k gSa rc
;fn vkSj osQoy ;fn
,d nwljs osQ lekarj (vFkok lajs[k) gSa vFkkZr~~

fof'k"Vr%
vkSj
, D;ksafd izFke fLFkfr esa θ = 0 rFkk f}rh; fLFkfr esa θ = π, ftlls nksuksa gh fLFkfr;ksa esa sinθ dk eku 'kwU; gks tkrk gSA
3. ;fn
rks 
vko`Qfr 10-23
4. izs{k.k 2 vkSj 3 osQ lanHkZ esa ijLij yacor~ ek=kd lfn'kksa
osQ fy, (vko`Qfr 10-24), ge ikrs gSa fd
=
= 
5. lfn'k xq.kuiQy dh lgk;rk ls nks lfn'kksa
osQ chp dk dks.k θ fuEufyf[kr :i esa izkIr gksrk gS
sinθ =
6. ;g loZnk lR; gS fd lfn'k xq.kuiQy Øe fofue; ugha gksrk gS D;ksafd
=
okLro esa
, tgk¡
,d nf{k.kkorhZ i¼fr dks fu£er djrs gSa vFkkZr~~ θ,
dh rjiQ pØh; Øe gksrk gSA vko`Qfr 10-25(i) tcfd
, tgk¡
,d nf{k.kkorhZ i¼fr dks fufeZr djrs gSa vFkkZr~~ θ,
dh vksj pØh; Øe gksrk gS vko`Qfr 10-25(ii)A
vko`Qfr 10-24
vr% ;fn ge ;g eku ysrs gSa fd
nksuksa ,d gh dkx”k osQ ry esa gSa rks
nksuksa dkx”k osQ ry ij yac gksaxs ijarq
dkx”k ls Åij dh rji+Q fn"V gksxk vkSj
dkx”k ls uhps dh rji+Q fn"V gksxk vFkkZr~~ 
bl izdkj

7. izs{k.k 4 vkSj 6 osQ lanHkZ esa

8. ;fn
f=kHkqt dh layXu Hkqtkvksa dks fu:fir djrs gSa rks f=kHkqt dk {ks=kiQy
osQ :i esa izkIr gksrk gSA
f=kHkqt osQ {ks=kiQy dh ifjHkk"kk osQ vuqlkj ge vko`Qfr 10-26 ls ikrs gSa fd f=kHkqt ABC dk {ks=kiQy =
. ijarq
(fn;k gqvk gS) vkSj CD =
sinθ
vr% f=kHkqt ABC dk {ks=kiQy
vko`Qfr 10-25
9. ;fn
lekarj prqHkZqt dh layXu Hkqtkvksa dks fu:fir djrs gSa rks lekarj prqHkqZt dk {ks=kiQy
osQ :i esa izkIr gksrk gSA
vko`Qfr 10-27 ls ge ikrs gSa fd lekarj prqHkaZt ABCD dk {ks=kiQy = AB. DE.
ijarq
(fn;k gqvk gS), vkSj
vr%
lekarj prqHkqZt ABCD dk {ks=kiQy = 
vc ge lfn'k xq.kuiQy osQ nks egRoiw.kZ xq.kksa dks vfHkO;Dr djsaxsA
vko`Qfr 10-26
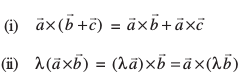
xq.k/eZ lfn'k xq.kuiQy dk ;ksxiQy ij forj.k fu;e (Distributivity of vector product over addition) ;fn
rhu lfn'k gSa vkSj λ ,d vfn'k gS rks

eku yhft, nks lfn'k
?kVd :i esa Øe'k%
vkSj
fn, gq, gSa rc mudk lfn'k xq.kuiQy
=
}kjk fn;k tk ldrk gSA
O;k[;k ge ikrs gSa
vko`Qfr 10-27
=
= 
+ 
+
( xq.k/eZ 1 ls)
= 
+ 
= 

= 
= 
mnkgj.k 22 ;fn
Kkr dhft,A
gy ;gk¡
=
= 

vr%
=
mnkgj.k 23 lfn'k
vkSj
esa ls izR;sd osQ yacor~ ek=kd lfn'k Kkr dhft, tgk¡

gy ge ikrs gSa fd 
,d lfn'k] tks
nksuks ij yac gS] fuEufyf[kr }kjk iznÙk gS

vc
=
vr% vHkh"V ek=kd lfn'k

fVIi.kh fdlh ry ij nks yacor~ fn'kk,¡ gksrh gSaA vr%
ij nwljk yacor~ ek=kd lfn'k
gksxkA ijarq ;g
dk ,d ifj.kke gSA
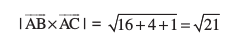
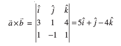
mnkgj.k 24 ,d f=kHkqt dk {ks=kiQy Kkr dhft, ftlosQ 'kh"kZ ¯cnq A(1, 1, 1), B(1, 2, 3) vkSj C(2, 3, 1) gSaA
gy ge ikrs gSa fd
. fn, gq, f=kHkqt dk {ks=kiQy
gSA
vc
blfy,
vr% vHkh"V {ks=kiQy
gSA
mnkgj.k 25 ml lekarj prqHkqZt dk {ks=kiQy Kkr dhft, ftldh layXu Hkqtk,¡
vkSj
}kjk nh xbZ gSaA
gy fdlh lekarj prqHkqZt dh layXu Hkqtk,¡
gSa rks mldk {ks=kiQy
}kjk izkIr gksrk gSA
vc
blfy,
=
bl izdkj vko';d {ks=kiQy
gSA
iz'ukoyh 10-4
1.
Kkr dhft,A
2. lfn'k
dh yac fn'kk esa ek=kd lfn'k Kkr dhft, tgk¡
vkSj
gSA
3. ;fn ,d ek=kd lfn'k
,
osQ lkFk ,d U;wu dks.k θ cukrk gS rks θ dk eku Kkr dhft, vkSj bldh lgk;rk ls
osQ ?kVd Hkh Kkr dhft,A
4. n'kkZb, fd 
5. λ vkSj µ Kkr dhft,] ;fn 
6. fn;k gqvk gS fd �
osQ ckjs esa vki D;k fu"d"kZ fudky ldrs gSa?
7. eku yhft, lfn'k
Øe'k%
osQ :i esa fn, gq, gSa rc n'kkZb, fd
8. ;fn
gksrk gSA D;k foykse lR; gS\ mnkgj.k lfgr vius mÙkj dh iqf"V dhft,A
9. ,d f=kHkqt dk {ks=kiQy Kkr dhft, ftlosQ 'kh"kZ A(1, 1, 2), B(2, 3, 5) vkSj C(1, 5, 5) gSaA
10. ,d lekarj prqHkqZt dk {ks=kiQy Kkr dhft, ftldh layXu Hkqtk,¡ lfn'k
vkSj
}kjk fu/kZfjr gSaA
11. eku yhft, lfn'k
bl izdkj gSa fd
,d ek=kd lfn'k gS ;fn
osQ chp dk dks.k gS%
(A) π/6 (B) π/4 (C) π/3 (D) π/2
12. ,d vk;r osQ 'kh"kks± A, B, C vkSj D ftuosQ fLFkfr lfn'k Øe'k%
,
vkSj
, gSa dk {ks=kiQy gS%
(A)
(B) 1
(C) 2 (D) 4
fofo/ mnkgj.k
mnkgj.k 26 XY-ry esa lHkh ek=kd lfn'k fyf[k,A
gy eku yhft, fd
XY-ry esa ,d ek=kd lfn'k gS (vko`Qfr 10-28)A rc vko`Qfr osQ vuqlkj ge ikrs gSa fd x = cos θ vkSj y = sin θ (D;ksafd |
| 1). blfy, ge lfn'k
dks]

osQ :i esa fy[k ldrs gSaA
Li"Vr%
=

vko`Qfr 10-28
tSls&tSls θ, 0 ls 2π, rd ifjofrZr gksrk gS ¯cnq P (vko`Qfr 10-28) okekorZ fn'kk esa o`r
x2 + y2 = 1 dk vuqjs[k.k djrk gS vkSj bleas lHkh laHkkfor fn'kk,¡ lfEefyr gSaA vr% (1) ls XY-ry esa izR;sd ek=kd lfn'k izkIr gksrk gSA
mnkgj.k 27 ;fn ¯cnqvksa A, B, C vkSj D, osQ fLFkfr lfn'k Øe'k%
, 
gS] rks ljy js[kkvksa AB rFkk CD osQ chp dk dks.k Kkr dhft,A fuxeu dhft, fd AB vkSj CD lajs[k gSaA
gy uksV dhft, fd ;fn θ, AB vkSj CD, osQ chp dk dks.k gS rks θ,
osQ chp dk Hkh dks.k gSA
vc
blfy,
blh izdkj 

= 
D;ksafd 0 ≤ θ ≤ π, blls izkIr gksrk gS fd θ = π. ;g n'kkZrk gS fd AB rFkk CD ,d nwljs osQ lajs[k gSaA
fodYir%
] blls dg ldrs fd
vkSj
lajs[k lfn'k gSaA
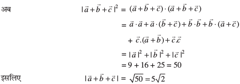
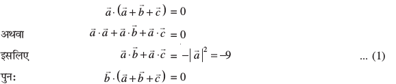
mnkgj.k 28 eku yhft,
rhu lfn'k bl izdkj gSa fd
vkSj buesa ls izR;sd] vU; nks lfn'kksa osQ ;ksxiQy ij yacor~ gaS rks]
Kkr dhft,A
gy fn;k gqvk gS fd 

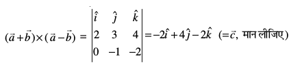
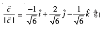
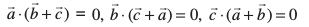
mnkgj.k 29 rhu lfn'k
izfrca/
dks larq"V djrs gSaA ;fn

gy D;ksafd
, blfy, ge ikrs gSa fd


;k 2µ = – 29, i.e., µ=
mnkgj.k 30 ;fn ijLij yacor~ ek=kd lfn'kksa
dh nf{k.kkorhZ i¼fr osQ lkis{k
osQ :i esa vfHkO;Dr dhft, tgk¡
osQ yacor~ gSA
��gy eku yhft, fd 

vè;k; 10 ij fofo/ iz'ukoyh
1. XY-ry esa] x-v{k dh /ukRed fn'kk osQ lkFk okekorZ fn'kk esa 30° dk dks.k cukus okyk ek=kd lfn'k fyf[k,A
2. ¯cnq P(x1, y1, z1) vkSj Q(x2, y2, z2) dks feykus okys lfn'k osQ vfn'k ?kVd vkSj ifjek.k Kkr dhft,A
3. ,d yM+dh if'pe fn'kk esa 4 km pyrh gSA mlosQ i'pkr~ og mÙkj ls 30° if'pe dh fn'kk esa 3 km pyrh gS vkSj :d tkrh gSA izLFkku osQ izkjafHkd ¯cnq ls yM+dh dk foLFkkiu Kkr dhft,A
4. ;fn
? vius mÙkj dh iqf"V dhft,A
5. x dk og eku Kkr dhft, ftlosQ fy,
,d ek=kd lfn'k gSA
6. lfn'kksa
osQ ifj.kkeh osQ lekarj ,d ,slk lfn'k Kkr dhft, ftldk ifjek.k 5 bdkbZ gSA
7. ;fn
osQ lekarj ,d ek=kd lfn'k Kkr dhft,A
8. n'kkZb, fd ¯cnq A(1, – 2, – 8), B(5, 0, –2) vkSj C(11, 3, 7) lajs[k gS vkSj B }kjk AC dks foHkkftr djus okyk vuqikr Kkr dhft,A
9. nks ¯cnqvksa
dks feykus okyh js[kk dks 1%2 osQ vuqikr es cká foHkkftr djus okys ¯cnq R dk fLFkfr lfn'k Kkr dhft,A ;g Hkh n'kkZb, fd ¯cnq P js[kk[kaM RQ dk eè; ¯cnq gSA
10. ,d lekarj prqHkqZt dh layXu Hkqtk,¡
gaSA blosQ fod.kZ osQ lekarj ,d ek=kd lfn'k Kkr dhft,A bldk {ks=kiQy Hkh Kkr dhft,A
11. n'kkZb, fd OX, OY ,oa OZ v{kksa osQ lkFk cjkcj >qosQ gq, lfn'k dh fno~Q&dkslkbu dksT;k,¡
gSA
12. eku yhft,
,d ,slk lfn'k
Kkr dhft, tks
�� nksuksa ij yac gS vkSj 
13. lfn'k
dk] lfn'kksa
vkSj
osQ ;ksxiQy dh fn'kk esa ek=kd lfn'k osQ lkFk vfn'k xq.kuiQy 1 osQ cjkcj gS rks
dk eku Kkr dhft,A
14. ;fn
leku ifjek.kksa okys ijLij yacor~ lfn'k gSa rks n'kkZb, fd lfn'k
lfn'kksa
osQ lkFk cjkcj >qdk gqvk gSA
15. fl¼ dhft, fd
, ;fn vkSj osQoy ;fn
yacor~ gSaA ;g fn;k gqvk gS fd 
16 ls 19 rd osQ iz'uksa esa lgh mÙkj dk p;u dhft,A
16. ;fn nks lfn'kksa
osQ chp dk dks.k θ gS rks
gksxk ;fn%
(A)
(B) 
(C) 0 < θ < π (D) 0 ≤ θ ≤ π
17. eku yhft,
nks ek=kd lfn'k gSa vkSj muosQ chp dk dks.k θ gS rks
,d ek=kd lfn'k gS ;fn%
(A)
(B)
(C)
(D) 
18.
dk eku gS
(A) 0 (B) –1 (C) 1 (D) 3
19. ;fn nks lfn'kksa
osQ chp dk dks.k θ gS rks
tc θ cjkcj gS%
(A) 0 (B)
(C)
(D) π
lkjak'k
- ,d ¯cnq P(x, y, z) dh fLFkfr lfn'k
gS vkSj ifjek.k
gSA - ,d lfn'k osQ vfn'k ?kVd blosQ fno~Q&vuqikr dgykrs gSa vkSj Øekxr v{kksa osQ lkFk blosQ iz{ksi dks fu:fir djrs gSaA
- ,d lfn'k dk ifjek.k (r), fno~Q&vuqikr a, b, c vkSj fno~Q&dkslkbu (l, m, n) fuEufyf[kr :i esa lacaf/r gSa%

- f=kHkqt dh rhuksa Hkqtkvksa dks Øe esa ysus ij mudk lfn'k ;ksx
gSA - nks lg&vkfne lfn'kksa dk ;ksx ,d ,sls lekarj prqHkqZt osQ fod.kZ ls izkIr gksrk gS ftldh layXu Hkqtk,¡ fn, gq, lfn'k gSaA
- ,d lfn'k dk vfn'k λ ls xq.ku blosQ ifjek.k dks |λ| osQ xq.kt esa ifjofrZr dj nsrk gS vkSj λ dk eku /ukRed vFkok ½.kkRed gksus osQ vuqlkj bldh fn'kk dks leku vFkok foijhr j[krk gSA
- fn, gq, lfn'k
osQ fy, lfn'k
dh fn'kk esa ek=kd lfn'k gSA - fcnqvksa P vkSj Q ftuosQ fLFkfr lfn'k Øe'k%
gSa] dks feykus okyh js[kk dks m : n osQ vuqikr esa foHkkftr djus okys ¯cnq R dk fLFkfr lfn'k (i)
var% foHkktu ij (ii)
cká foHkktu ij] osQ :i esa izkIr gksrk gSA - nks lfn'kksa
osQ chp dk dks.k θ gS rks mudk vfn'k xq.kuiQy
osQ :i esa izkIr gksrk gSA ;fn
fn;k gqvk gS rks lfn'kksa
� osQ chp dk dks.k ‘θ’,
ls izkIr gksrk gSA - ;fn nks lfn'kksa
osQ chp dk dks.k θ gS rks mudk lfn'k xq.kuiQy
osQ :i esa izkIr gksrk gSA tgk¡
,d ,slk ek=kd lfn'k gS tks
dks lfEefyr djus okys ry osQ yacor~ gS rFkk
nf{k.kkorhZ ledksf.kd funsZ'kkad i¼fr dks fufeZr djrs gSaA- ;fn
,d vfn'k gS rks

,sfrgkfld i`"BHkwfe
lfn'k 'kCn dk O;qRiUu ySfVu Hkk"kk osQ ,d 'kCn osDVl (vectus) ls gqvk gS ftldk vFkZ gS gLrxr djukA vk/qfud lfn'k fl¼kar osQ Hkzw.kh; fopkj dh frfFk lu~ 1800 osQ vklikl ekuh tkrh gS] tc Caspar Wessel (1745&1818 bZ-) vkSj Jean Robert Argand (1768-1822 bZ-) us bl ckr dk o.kZu fd;k fd ,d funsZ'kkad ry esa fdlh fn"V js[kk[kaM dh lgk;rk ls ,d lfEeJ la[;k a + ib dk T;kferh; vFkZ fuoZpu dSls fd;k tk ldrk gSA ,d vk;fj'k xf.krK] William Rowen Hamilton (1805-1865 bZ-) us viuh iqLrd] "Lectures on Quaternions" (1853 bZ-) esa fn"V js[kk[kaM osQ fy, lfn'k 'kCn dk iz;ksx lcls igys fd;k FkkA prq"V;h;ksa (quaternians) [oqQN fuf'pr chth; fu;eksa dk ikyu djrs gq,
osQ :i okys pkj okLrfod la[;kvksa dk leqPp;] dh gSfeYVu fof/ lfn'kksa dks f=k&foeh; varfj{k esa xq.kk djus dh leL;k dk ,d gy FkkA rFkkfi ge ;gk¡ bl ckr dk ftØ vo'; djsaxs fd lfn'k dh ladYiuk vkSj muosQ ;ksxiQy dk fopkj cgqr& fnuksa igys ls Plato (384-322 bZlk iwoZ) osQ ,d f'k"; ,oa ;wukuh nk'kZkfud vkSj oSKkfud Aristotle (427-348 bZlk iwoZ) osQ dky ls gh FkkA ml le; bl tkudkjh dh dYiuk Fkh fd nks vFkok vf/d cyksa dh la;qDr fØ;k mudks lekarj prqHkqZt osQ fu;ekuqlkj ;ksx djus ij izkIr dh tk ldrh gSA cyksa osQ la;kstu dk lgh fu;e] fd cyksa dk ;ksx lfn'k :i esa fd;k tk ldrk gS] dh [kkst Sterin Simon(1548-1620 bZ-) }kjk yacor~ cyksa dh fLFkfr esa dh xbZA lu~ 1586 esa mUgksaus viuh 'kks/iqLrd] "DeBeghinselen der Weeghconst" (otu djus dh dyk osQ fl¼kar) esa cyksa osQ ;ksxiQy osQ T;kferh; fl¼kar dk fo'ys"k.k fd;k Fkk ftlosQ dkj.k ;kaf=kdh osQ fodkl esa ,d eq[; ifjorZu gqvkA ijarq blosQ ckn Hkh lfn'kksa dh O;kid ladYiuk osQ fuekZ.k esa 200 o"kZ yx x,A
lu~ 1880 esa ,d vesfjdh HkkSfrd 'kkL=kh ,oa xf.krK Josaih Willard Gibbs (1839-1903 bZ-) vkSj ,d vaxzst vfHk;ark Oliver Heaviside (1850-1925 bZ-) us ,d prq"V;h osQ okLrfod (vfn'k) Hkkx dks dkYifud (lfn'k) Hkkx ls i`Fko~Q djrs gq, lfn'k fo'ys"k.k dk l`tu fd;k FkkA lu~ 1881 vkSj 1884 esa Gibbs us "Entitled Element of Vector Analysis" uked ,d 'kks/ iqfLrdk NiokbZA bl iqLrd esa lfn'kksa dk ,d Øec¼ ,oa laf{kIr fooj.k fn;k gqvk FkkA rFkkfi lfn'kksa osQ vuqiz;ksx dk fu:i.k djus dh dhfrZ
D. Heaviside vkSj P.G. Tait (1831-1901 bZ-) dks izkIr gS ftUgksaus bl fo"k; osQ fy, lkFkZd ;ksxnku fn;k gSA


dh fn'kk esa ek=kd lfn'k gSA
var% foHkktu ij
cká foHkktu ij] osQ :i esa izkIr gksrk gSA
osQ :i esa izkIr gksrk gSA ;fn
,d vfn'k gS rks