The energy of σ2pz molecular orbital is greater than π2px and π2py molecular orbitals in nitrogen molecule. Write the complete sequence of energy levels in the increasing order of energy in the molecule. Compare the relative stability and the magnetic behaviour of the following species :

N2, N2+ , N2- , N22+


The general sequence of the energy level of molecular orbitals are:


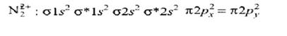
The molecular orbitals in the sequence of their energy levels for the given molecules are given below:






The bond order is given by the formulae:



Bond order for N2=


Bond order for N2+=


Bond order for N2-


Bond order for N22+


According to Molecular Orbital Theory, the greater the bond order greater is the bond energy.


Thus, the order of stability is:


N2> N2- > N2+> N22+


N2- is more stable than N2+ because it has more bonding electrons i.e. electrons in the bonding molecular orbital.


The molecules or ions with unpaired electrons are paramagnetic else diamagnetic in nature.


Thus, N2 and N22+ are diamagnetic and N2+ and N2- are paramagnetic in nature.


1