For the reaction N2O4 (g) 2NO2 (g), the value of K is 50 at 400 K and 1700 at 500 K. Which of the following options is correct?

• For (i)


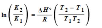
Generally, the Equilibrium constant for a certain reaction changes with a change in temperature and this change occurs over a dependency on the factor (actually the sign) of ∆H (heat of the reaction or the enthalpy in thermodynamics) which can be expressed by the following relation :


eq:1


where K1 and K 2 are the Equilibrium constant at temperatures T1 and T2 respectively


For the given reaction N2O4 (g) 2NO2 (g), it is informed that the value of K is 50 at 400 K and 1700 at 500 K; i.e. the value of the Equilibrium constant is increasing with an increase in temperature which only possible if the ∆H is positive (eq:1 ).


• For (iii) when NO2 (g) and N2 O4 (g) are mixed at 400 K at partial pressures 20 bar and 2 bar respectively:


At 400 k the reaction quotient, = (20)2/2 = 200. Thus for the given value of k ( 50 at 400 k) Q>k.


Hence Equilibrium will obviously shift backwards to form more of N2O4.


• For (iv),


The increase in entropy is shown by the increase in the number of moles of the participant substances.


The option (ii) The reaction is exothermic is incorrect because it is impossible ( ∆H value is positive).

1