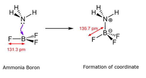
BF3 does not have proton but still acts as an acid and reacts with NH3. Why is it so? What type of bond is formed between the two?
BF3 is an electron-deficient species as the octet of boron is incomplete (1s2 2s2 2p1). According to Lewis concept e- deficient species are called lewis acid so BF3 will act as a lewis acid while NH3 (N=1s2 2s2 2p3) has a lone pair so it will act as a lewis base and it will donate its lone pair to the empty p-orbital of Boron through a coordinate bond to form an adduct.
