For an electrophilic substitution reaction, the presence of a halogen atom in the benzene ring _______.

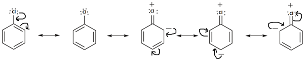
The presence of a halogen atom (say Cl) in the benzene ring will show +R effect and the following resonance structures will be formed.
From these structures it is clear that due to +R effect of Cl electron density increases at ortho and para position as compared to meta position.
Also, halogen being electronegative pulls the electron from benzene ring showing –I effect and deactivating it.
But the magnitude of +R effect is greater than that of –I effect. Therefore, both (i) and (iii) are correct options.