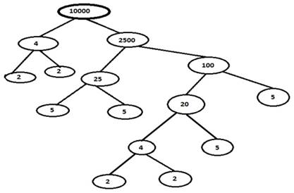
Write the smallest 5-digit number and express it in the form of its prime factors.

Smallest 5 digit number = 10,000


Draw the factor tree,



So the factors are;


10000 = 2 × 2 × 2 × 2 × 5 × 5 × 5 × 5


23