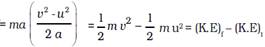
The velocity of a body moving in a straight line is increased by applying a constant force F, for some distance in the direction of the motion. Prove that the increase in the kinetic energy of the body is equal to the work done by the force on the body.
To Prove: the increase in the kinetic energy of the body is equal to the work done by the force on the body i.e. W = (KE)f – (KE)i
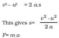
Proof: According to equation of motion, we know that displacement and force can also be written as:

Now, W = F. ds
![]()