The distance between the points A (0, 6) and B (0, - 2) is
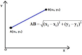
By using the distance formula:

d2 = (x2 - x1)2 + (y2 - y1)2
Lets calculate the distance between the points (x1, y1) and (x2 , y2)
We have;
x1 = 0, x2 = 0
y1 = 6, y2 = - 2
d2 = (0 – 0)2 + ( - 2 – 6)2
![]()
d = √64
d = 8 units
So, the distance between A (0, 6) and B (0, 2) = 8