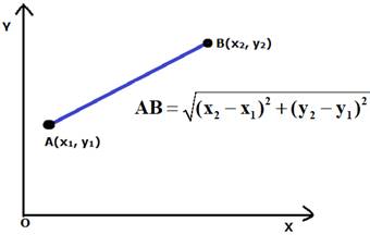
The distance between the points (0, 5) and ( - 5, 0) is
By using the formula:
d2 = (x2 - x1)2 + (y2 - y1)2

To calculate distance between the points (x1 , y1) and (x2 , y2)
Here we have;
x1 = 0, x2 = - 5
y2 = 5, y2 = 0
d2 = [( - 5) - 0]2 + [0 - 5]2
![]()
![]()
d= √50= 5√2
So the distance between (0, 5) and ( - 5, 0) = 5√ 2