The points A (4, 3), B (6, 4), C (5, - 6) and D ( - 3, 5) are vertices of a parallelogram.
False
As we know that in a parallelogram, opposite sides are equal.
By using the distance formula calculates the distance between the sides;
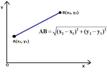
As distance between the points (x1, y1) and (x2, y2);
![]()

Distance between A (4, 3) and B (6, 4);
![]()
Distance between B (6, 4) and C (5, - 6),
![]()
![]()
![]()
Distance between C (5, 6) and D ( - 3, 5),
![]()
![]()
![]()
![]()
Distance between D ( - 3, 5) and A (4, 3),
![]()
![]()
![]()
Here, as we can see that all sides AB, BC, CD and DA are different.
Hence, given vertices can’t be the vertices of a parallelogram.