A circle has its center at the origin and a point P (5, 0) lies on it. The point Q (6, 8) lies outside the circle.
True
Let’s draw a circle and mark a point P on it as shown in the figure.
Now, mark a point Q outside the circle.

By using Distance formula;
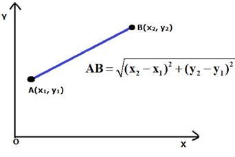
Distance between two points (x1, y1) and (x2, y2);
d = ![]()

Calculate the distance between origin O (0, 0) and P (5, 0),
OP = ![]()
= Radius of circle
Distance between origin O (0, 0) and Q (6, 8),
OQ = ![]()
![]()
![]()
= 10
As we know that, if the distance of any point from the center is less than the radius, then the point is inside.
If the distance of any point from the center is equal to the radius, then the point is on the circle. And if the distance of any point from the center is more than the radius, then the point is outside the circle.
As we can see here that, OQ>OP
Hence, it is true that point Q (6, 8) lies outside the circle.