The point P ( - 2, 4) lies on a circle of radius 6 and center (3, 5).
False
We know that if the distance between the center and any point is equal to the radius, then we say that point lie on the circle.
Now,
By using the distance formula;
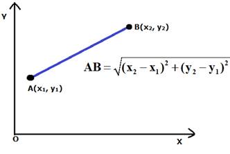
∵ Distance between the points (x1, y1) and (x2, y2);
![]()

Calculate the distance between P ( - 2, 4) and center (3, 5)
![]()
![]()
![]()
As we can see that distance between P and center is
, which is not equal to the radius of the circle.
Hence, the point P ( - 2, 4) does not lies on the circle.