What type of quadrilateral do the points A(2, - 2), B(7, 3) C(11, - 1) and D(6, - 6) taken in that order form?
To find the type of quadrilateral, let us find out the length of all four sides as well as two diagonals.
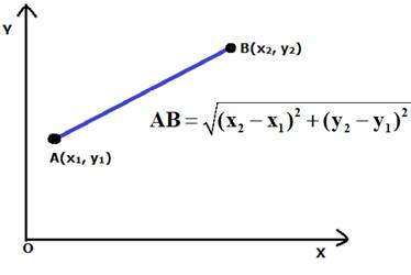
Now, using distance formula between two points.
Distance between the points (x1, y1) and (x2, y2);
d = ![]()

AB = ![]()
![]()
![]()
![]()
![]()
BC = ![]()
![]()
![]()
![]()
![]()
CD = ![]()
![]()
![]()
![]()
![]()
DA = ![]()
![]()
![]()
![]()
![]()
Calculate the distance of diagonals;
AC = ![]()
![]()
![]()
![]()
And BD = ![]()
![]()
![]()
![]()
Here, we see that the sides AB = CD and BC = DA
Also, diagonals are equal i.e., AC = BD

Which shows the quadrilateral is a rectangle.