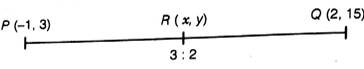
Find the coordinates of the point R on the line segment joining the points P(-1, 3) and Q(2, 5) such that 
According to the question,

Given,
PR =
PQ
→ ![]()
![]()
![]()
![]()
∴ RQ:PR = 2:3
Or
PR:RQ = 3:2
Let’s take,
R (x, y) be the point which divides the line segment joining the points P ( - 1, 3) and Q (2, 5) in the ratio 3:2
∴ (x, y) = ![]()
∵ By internal section formula;
![]()
= ![]()
Hence, the required coordinates of the point R is
.