If ( - 4, 3) and (4, 3) are two vertices of an equilateral triangle, then find the coordinates of the third vertex, given that the origin lies in the interior of the triangle.
Let three vertices of the triangle be A, B and C
And the coordinates of third vertex be (x, y)
We have,
A ( - 4, 3),
B (4, 3) and
C (x, y)
We know that, in equilateral triangle the angle between two adjacent sides is 60 and all three sides are equal.
∴ AB = BC = CA
→ AB2 = BC2 = CA2
Now, taking first two parts
AB2 = BC2
(4 + 4)2 + (3 - 3)2 = (x – 4)2 + (y – 3)2
64 + 0 = x2 + 16 – 8x + y2 + 9 – 6y
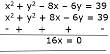
x2 + y2 – 8x – 6y = 39……. (ii)
Now, taking first and third parts;
AB2 = CA2
(4 + 4)2 + (3 - 3)2 = ( - 4 - x)2 + (3 – y)2
64 + 0 = 16 + x2 + 8x + 9 + y2 – 6y
x2 + y2 + 8x – 6y = 39……. (iii)
On subtracting Eq. (ii) from Eq. (iii),
We get:

→ x = 0
Now, by putting the value of x in Eq. (ii),
We get;
0 + y2 – 0 – 6y = 39
→ y2 – 6y – 39 = 0
∴ y = ![]()
∵ Solution of ax2 + bx + c = 0 is x = ![]()
y = ![]()
![]()
![]()
![]()
![]()
![]()
So, the points of third vertex are (0,3 + 4√3) or (3 - 4√3)
But given that, the origin lies in the interior of the ΔABC and the x - coordinate of third vertex is zero.
Then, y - coordinate of third vertex should be negative.

Hence, the required coordinate of third vertex,
C =
[∵ c ≠
]