The following data were obtained during the first order thermal decomposition of SO2Cl2 at a constant volume.
SO2Cl2(g)→ SO2 (g) + Cl2 (g)
Experiment | Time/s–1 | Total pressure/atm |
1 | 0 | 0.5 |
2 | 100 | 0.6 |
Calculate the rate of the reaction when total pressure is 0.65 atm
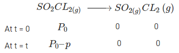
When t = 0, the total partial pressure is P0 = 0.5 atm

When time t = t, the total partial pressure is Pt = P0 + p
P0-p = Pt-2p, but by the above equation, we know p = Pt-P0
Hence, P0-p = Pt-2(Pt-P0)
Thus, P0-p = 2P0 – Pt
We know that time ![]()
Where, k- rate constant
[R]° -Initial concentration of reactant
[R]-Concentration of reactant at time ‘t’
Here concentration can be replaced by the corresponding partial pressures.
Hence, the equation becomes, ![]()
⇒
→ equation 1
At time t = 100 s, Pt = 0.6 atm and P0 = 0.5 atm,
Substituting in equation 1,
⇒ ![]()
Thus, k = 2.231 × 10-3 s-1
The rate of reaction R = k × PS02Cl2
When total pressure Pt = 0.65 atm and P0 = 0.5 atm, then
PS02Cl2 = 2P0-Pt
Thus, substituting the values, PS02Cl2 = 2(0.5)-0.6 = 0.35 atm
R = k × PS02Cl2 = 2.231 × 10-3 s–1 × 0.35
Rate of the reaction R = 7.8 × 10-4atm s–1