Write the structures of the following compounds.
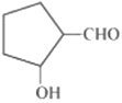
2-Hydroxycyclopentane carbaldehyde
The compound contains alcoholic group and an aldehydic functional group with the longest chain having 5 carbon atoms which are cyclic in nature. The numbering of the chain starts from a carbon atom of aldehyde group attached to the cyclopentane ring.
