Name the following compounds according to IUPAC system of nomenclature:

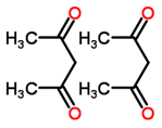
CH3COCH2COCH3

15093923.png


Pentane-2,4-dione


5