Ortho and para nitrophenols are more acidic than phenol. Draw the resonance structures of the corresponding phenoxide ions.
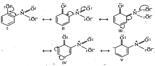
Resonating structures of o-nitrophenoxide ions that are formed by the loss of a proton from o-nitrophenol are as follows:

Resonating structures of p-nitrophenoxide ions that are formed by the loss of a proton from p-nitrophenol are as follows:

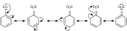
Resonating structures of phenoxide ions that are formed by the loss of a proton from phenol are as follows:

It is clearly evident from the above structures that due to —R-effect of— NO2NO2 group, o-and p-nitrophenoxide ions are more stable than phenoxide ions. Consequently, o- and p-nitrophenols are more acidic than phenols.