Explain why is ortho nitrophenol more acidic than ortho methoxyphenol ?
ortho-nitro phenol is more acidic than ortho-methoxy phenol.
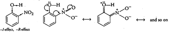
Explanation: Due to strong –R and –I effect of NO2 group, electron density in the O-H bond decreases and hence the loss of a proton becomes easy.

Now after the loss of a proton, the o-nitrophenoxide ion left behind is stabilized by resonance and thus making o-nitro phenol a stronger acid.
In contrast, due to the +R effect of methoxy group increases the electron density in the O-H bond. Thereby making the loss of proton difficult.
Now, the o-methoxyphenoxide ion left after the loss of a proton is destabilized by resonance. The two negative charges repel each other, thereby destabilizing the o-methoxyphenoxide ion.

Therefore, o-nitrophenol is more acidic than o-methoxyphenyl.