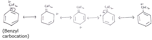
Draw the resonance structures for the following compounds. Show the electron shift using curved-arrow notation.

C6H5– C+H2


12