Write IUPAC names of the products obtained by the ozonolysis of the following compounds:
1-Phenylbut-1-ene
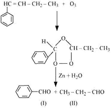
The reaction of 1-Phenylbut-1-ene with ozone is as shown below : -

Hence, the IUPAC names of the products obtained by the ozonolysis of 1-Phenylbut-1-ene are a product (I) is benzaldehyde and Product (II) is propanal.