If a population growing exponentially double in size in 3 years, what is the intrinsic rate of increase (r) of the population?
When resources are unlimited, populations exhibit exponential growth, resulting in a J-shaped curve. Its exponential growth can be calculated by the following equation:
![]()
Where,
Nt = Population density after time t
No = Population density at time zero
r = Intrinsic rate of natural increase
e = Base of natural logarithms (2.71828)
From the above equation, we can calculate the intrinsic rate of increase (r) of a population.
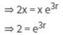
Now, as per the question,
Present population density = x
Then,
Population density after two years = 2x
t = 3 years
Substituting these values in the formula, we get:

Applying log on both sides:
⇒ log 2 = 3r log e

Hence, the intrinsic rate of increase for the above illustrated population is 0.2311.