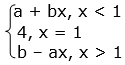
Suppose 
and if
= f (1) what are possible values of a and b?
Given function is f(x) = 
And ![]()
⇒ ![]()
⇒ ![]()
Here, f(1) = 4
∴ ![]()
So, a + b = 4 and b – a = 4
Solving the above two equations, we get
⇒ a = 0 and b = 4
Ans. The possible values of a and b for the given function f(x) are 0 and 4 respectively.