Draw the graph of each of the equations given below and also find the coordinates of the points where the graph cuts the coordinate axes
3x + 2y + 6 = 0
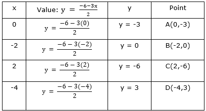
For graph, we’ll first make the table of solutions by putting some random values of x and thereafter we’ll find corresponding values of y and then we’ll plot these points on graph, join them and extend them in straight line to find the graph.
(Note: ∵ equation is linear graph will always be straight line.)
Table of solutions for the given equation-

GRAPH:

⇒ ∴ the pts. Where graph cuts the co-ordinate axis(i.e., where x = 0 and where y = 0) are pt. A = (-2,0) and pt. B = (0,-3).