Find the remainder when
is divided by
(i) ![]()
(ii) ![]()
(iii) ![]()
(iv) ![]()
(v) ![]()
(i) By long division method, we have

Therefore, the remainder is 0
(ii) By long division method, we have

Therefore, the remainder is ![]()
(iii)

Therefore, the remainder is 1
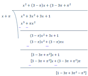
(iv)

Therefore, the remainder is [1 - 3π + 3π2 – π3]
(v)

Therefore, the remainder is ![]()