Factorize:
(i) ![]()
(ii) ![]()
(iii) ![]()
(iv) ![]()
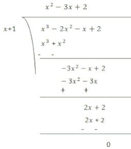
(i) Let p (x) = x3 – 2x2 – x + 2
Factors of 2 are ±1 and ±2
By trial method, we find that
p (1) = 0
So, (x + 1) is a factor of p (x)
Now,
p (x) = x3 – 2x2 – x + 2
p (-1) = (-1)3 – 2 (-1)2 – (-1) + 2
= -1 – 2 + 1 + 2 = 0
Therefore, (x + 1) is the factor of p (x)

Now, Dividend = Divisor * Quotient + Remainder
(x + 1) (x2 – 3x + 2)
= (x + 1) (x2 – x – 2x + 2)
= (x + 1) {x (x – 1) – 2 (x – 1)}
= (x + 1) (x – 1) (x + 2)
(ii) Let p (x) = x3 – 3x2 – 9x – 5
Factors of 5 are ±1 and ±5
By trial method, we find that
p (5) = 0
So, (x – 5) is a factor of p(x)
Now,
p (x) = x3 – 2x2 – x + 2
p (5) = (5)3 – 3 (5)2 – 9 (5) – 5
= 125 – 75 – 45 – 5 = 0
Therefore, (x – 5) is the factor of p (x)

Now, Dividend = Divisor * Quotient + Remainder
(x – 5) (x2 + 2x + 1)
= (x – 5) (x2 + x + x + 1)
= (x – 5) {x (x + 1) + 1 (x + 1)}= (x – 5) (x + 1) (x + 1)
(iii) Let p (x) = x3 + 13x2 + 32x + 20
Factors of 20 are ±1, ±2, ±4, ±5, ±10 and ±20
By trial method, we find that
p (-1) = 0
So, (x + 1) is factor of p (x)
Now,
p (x) = x3 + 13x2 + 32x + 20
p (-1) = (-1)3 + 13 (-1)2 + 32 (-1) + 20
= -1 + 13 – 32 + 20 = 0
Therefore, (x + 1) is the factor of p (x)

Now, Dividend = Divisor * Quotient + Remainder
(x + 1) (x2 + 2x + 20)
= (x + 1) (x2 + 2x + 10x + 20)
= (x – 5) {x (x + 2) + 10 (x + 2)}
= (x – 5) (x + 2) (x + 10)
(iv) Let, p(y) = 2y3 + y2 – 2y – 1
Factors of ab = 2 * (-1) = -2 are ±1 and ±2
By trial method, we find that
p (1) = 0
So, (y – 1) is a factor of p (y)
Now,
p (y) = 2y3 + y2 – 2y – 1
p (1) = 2 (1)3 + (1)2 – 2 (1) – 1
= 2 + 1 -1 -1 = 0
Therefore, (y – 1) is the factor if p (y)

Now, Dividend = Divisor * Quotient + Remainder
(y – 1) (2y2 + 3y + 1)
= (y – 1) (2y2 + 2y + y + 1)
= (y – 1) {2y (y + 1) + 1 (y + 1)}
= (y – 1) (2y + 1) (y + 1)