In which of the following situations, does the list of numbers involved make an arithmeticprogression, and why?
(i) The taxi fare after each km when the fare is Rs 15 for the first km and Rs 8 for each additional km.
(ii) The amount of air present in a cylinder when a vacuum pump removes
of the air remaining in the cylinder at a time.
(iii) The cost of digging a well after every metre of digging, when it costs Rs 150 forthe first metre and rises by Rs 50 for each subsequent metre.
(iv) The amount of money in the account every year, when Rs 10000 is deposited atcompound interest at 8 % per annum
(i) Fare for 1st km = Rs. 15
Fare for 2ndkm = Rs. 15 + 8 = Rs 23
Fare for 3rdkm = Rs. 23 + 8 = 31
In this, each subsequent term is obtained by adding a fixed number (8) to the previous term.
Hence, it is an AP
(ii) Let us take initial quantity of air = 1
Hence, quantity removed in first step = 1/4
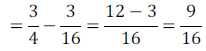
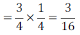
Remaining quantity after 1st step

Quantity removed after 2nd step

Remaining quantity after 2nd step would be:

Here a fixed number is not added to each subsequent term.
Hence, it is not an AP
(iii) Cost of digging of 1st meter = 150
Cost of digging of 2nd meter = 150 + 50
= 200
Cost of digging of 3rd meter = 200 + 50
= 250
Here, each subsequent term is obtained by adding a fixed number (50) to the previous term.
Hence, it is an AP.
(iv)Amount in the beginning = Rs. 10000
Interest at the end of 1st year at rate of 8%
= 10000 x 8%
= 800
Hence, amount at the end of 1styear
= 10000 + 800
= 10800
Interest at the end of 2nd year at rate of 8%
= 10800 x 8%
= 864
Thus, amount at the end of 2ndyear
= 10800 + 864 = 11664
Since, each subsequent term is not obtained by adding a unique number to the previous term; hence, it is not an AP